精英家教网 > 高中数学 > 题目详情

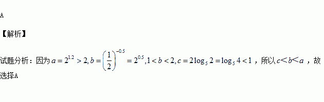
已知a=212,b=,c=2log52,则a,b,c的大小关系为( )

A.c<b<a B.c<a<b

C.b<a<c D.b<c<a

练习册系列答案
相关习题

科目:高中数学 来源:2014-2015学年浙江省等三校高二上学期期中考试数学试卷(解析版) 题型:解答题

设锐角三角形ABC的内角A、B、C的对边分别为a、b、c,a=2bsin A.

(1)求角B的大小;

(2)若a=3,c=5,求b.

查看答案和解析>>

科目:高中数学 来源:2015-2016学年四川成都市六校高二上学期期中联考文科数学试卷(解析版) 题型:解答题

(本小题满分12分)如图,在四棱锥中,底面为矩形,侧面底面

(1)求证:

(2)设为等边三角形,求直线与平面所成角的大小

查看答案和解析>>

科目:高中数学 来源:2015-2016学年四川成都市六校高二上学期期中联考理科数学试卷(解析版) 题型:选择题

已知实数x、y满足约束条件则目标函数的最大值为

A.3 B.4 C. D.

查看答案和解析>>

科目:高中数学 来源:2015-2016学年江苏省泰州市姜堰区高一上学期期中考试数学试卷(解析版) 题型:填空题

满足不等式的实数的取值范围是

查看答案和解析>>

科目:高中数学 来源:2015-2016学年河北省高一上学期第一次月考数学试卷(解析版) 题型:选择题

函数的单调增区间是( )

A. B. C. D.

查看答案和解析>>

科目:高中数学 来源:2015-2016学年广东省普宁市高一上学期期中考试数学试卷(解析版) 题型:选择题

函数上的最大值和最小值之和为,则的值为( )

A. B. C. D.

查看答案和解析>>

科目:高中数学 来源:2014-2015年河北保定一中高二下第一次段考理数学试卷(解析版) 题型:解答题

(本小题满分10分)直三棱柱ABC—A′B′C′中,AC=BC=AA′,∠ACB=90°,D、E分别为AB、BB′的中点.

(1)求证:

(2)求证:平面

查看答案和解析>>

科目:高中数学 来源:2015-2016学年河北省高一上学期期中数学试卷(解析版) 题型:填空题

设集合,若,则实数的取值范围是________

查看答案和解析>>

同步练习册答案