精英家教网 > 高中数学 > 题目详情

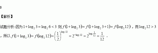
已知函数,则f(1+log23)的值为

A. B. C. D.

练习册系列答案
相关习题

科目:高中数学 来源:2016届湖南师大附中高三月考四文科数学试卷(解析版) 题型:选择题

下列函数中,的最小值为4的是( )

A.

B.

C.

D.

查看答案和解析>>

科目:高中数学 来源:2015-2016学年广东省清远市实验学校高一上学期期中数学试卷(解析版) 题型:解答题

若集合A={1,3},集合B={x|x2+ax+b=0},且A=B,求实数a,b。

查看答案和解析>>

科目:高中数学 来源:2016届北京市朝阳区高三上学期期中统一考试理科数学试卷(解析版) 题型:填空题

已知平面向量.若向量,则实数的值是

查看答案和解析>>

科目:高中数学 来源:2015-2016学年湖北省武汉市高二上学期期中考试数学试卷(解析版) 题型:选择题

已知直线的方程是,则( )

A.直线经过点,斜率为

B.直线经过点,斜率为

C.直线经过点,斜率为

D.直线经过点,斜率为

查看答案和解析>>

科目:高中数学 来源:2016届浙江省绍兴市高三上学期期中文科数学试卷(解析版) 题型:选择题

对两条不相交的空间直线,则( )

A.必定存在平面,使得

B.必定存在平面,使得

C.必定存在直线,使得

D.必定存在直线,使得

查看答案和解析>>

科目:高中数学 来源:2016届山西省高三10月月考文科数学试卷(解析版) 题型:填空题

函数,则此函数的所有零点之和等于

查看答案和解析>>

科目:高中数学 来源:2016届辽宁省沈阳市高三上学期期中理科数学试卷(解析版) 题型:填空题

已知变量满足,则的取值范围是

查看答案和解析>>

科目:高中数学 来源:2015-2016学年江苏省高一10月月考数学试卷(解析版) 题型:填空题

设集合U={1,2,3,4,5},A={1,2},B={2,3,4},则(∁uA)∩B =

查看答案和解析>>

同步练习册答案