精英家教网 > 高中数学 > 题目详情

,则之间的大小关系为( )

A.

B.

C.

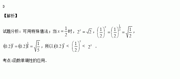
D.

练习册系列答案
相关习题

科目:高中数学 来源:2014-2015学年甘肃省高三上学期第一次联考理科数学试卷(解析版) 题型:选择题

函数在R上为减函数,则( )

A. B. C. D.

查看答案和解析>>

科目:高中数学 来源:2014-2015学年福建省高三上学期第二次质量检查理科数学试卷(解析版) 题型:填空题

已知幂函数为偶函数,则

查看答案和解析>>

科目:高中数学 来源:2014-2015学年江西省赣州市北校高一上学期十月考数学试卷(解析版) 题型:填空题

下列几个命题:

①方程若有一个正实根,一个负实根,则

②函数是偶函数,但不是奇函数;

③函数的值域是,则函数的值域为

④一条曲线和直线的公共点个数是,则的值不可能是

其中正确的有 .

查看答案和解析>>

科目:高中数学 来源:2014-2015学年江西省赣州市北校高一上学期十月考数学试卷(解析版) 题型:选择题

已知函数是定义在R上的奇函数,且,则( ).

A.4 B.2 C.0 D.不确定

查看答案和解析>>

科目:高中数学 来源:2014-2015学年安徽滁州新锐私立学校等高一上学期第一次联考数学卷(解析版) 题型:解答题

(12分)已知函数

(1)用定义法证明函数的单调性;

(2)求函数的最小值和最大值.

查看答案和解析>>

科目:高中数学 来源:2014-2015学年安徽滁州新锐私立学校等高一上学期第一次联考数学卷(解析版) 题型:填空题

已知集合M={(x, y)|x+y=2},N={(x,y)|x-y=4},那么集合M∩N= .

查看答案和解析>>

科目:高中数学 来源:2014-2015学年辽宁省朝阳市三校协作体高三下学期开学联考文科数学试卷(解析版) 题型:解答题

已知的最小正周期为

(1)求的值;

(2)在中,角所对应的边分别为,若有,则求角的大小以及的取值范围.

查看答案和解析>>

科目:高中数学 来源:2014-2015学年辽宁省朝阳市三校协作体高三下学期开学联考理科数学试卷(解析版) 题型:选择题

已知全集,集合,则(U ( )

A. B. C. D.

查看答案和解析>>

同步练习册答案