精英家教网 > 高中数学 > 题目详情
已知向量,x∈R,设函数
(Ⅰ)求函数f(x)的最大值及相应的自变量x的取值集合;
(II)当时,求的值
【答案】分析:(Ⅰ)通过向量关系求出数量积,然后利用二倍角公式、两角和的正弦函数化简函数为:,即可求函数f(x)的最大值,借助正弦函数的最大值求出相应的自变量x的取值集合;
(II)当时,直接得到,求出,化简的表达式,利用两角和的正弦函数,整体代入,求得的值.
解答:(Ⅰ)∵
=(sinx,cosx+sinx)•(2cosx,cosx-sinx)=2sinxcosx+cos2x-sin2x(1分)
=sin2x+cos2x(3分)
=(4分)
∴函数f(x)取得最大值为.(5分)
相应的自变量x的取值集合为{x|(k∈Z)}(7分)
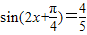
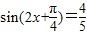
(II)由,即
因为,所以,从而(9分)
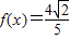
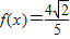
于是==
=(14分)
点评:本题是中档题,考查了向量的数量积的计算,二倍角和两角和的正弦函数,三角函数的最值,考查转化思想,整体代入思想,合理应用角的变形,二倍角公式的转化,是本题的难点,注意总结应用.
练习册系列答案
相关习题

科目:高中数学 来源:2012-2013学年湖南省衡阳八中高三(上)第二次月考试卷试卷(理科)(解析版) 题型:解答题

已知向量,其中x∈R,
(1)当时,求x值的集合;
(2)设函数,求f(x)的最小正周期及其单调增区间.

查看答案和解析>>

科目:高中数学 来源:2012-2013学年河南省周口市项城二中高三(上)第三次月考数学试卷(文科)(解析版) 题型:解答题

已知向量,其中x∈R,
(1)当时,求x值的集合;
(2)设函数,求f(x)的最小正周期及其单调增区间.

查看答案和解析>>

科目:高中数学 来源:2009-2010学年江苏省宿迁市高三(上)11月调研数学试卷(解析版) 题型:解答题

已知向量,x∈R,设
(1)求函数f(x)的最小正周期.
(2)若,且,求sin2x的值.

查看答案和解析>>

科目:高中数学 来源:2012年山东省实验中学高考数学三模试卷(理科)(解析版) 题型:解答题

已知向量,其中x∈R,
(1)当时,求x值的集合;
(2)设函数,求f(x)的最小正周期及其单调增区间.

查看答案和解析>>

科目:高中数学 来源:2010年高考数学考前模拟试卷(文科)(解析版) 题型:解答题

已知向量(x∈R),设函数
(1)求函数f(x)的值域;
(2)已知锐角△ABC的三个内角分别为A,B,C,若,求f(C)的值.

查看答案和解析>>

同步练习册答案