精英家教网 > 高中数学 > 题目详情

(1)若f(x)在上存在单调递增区间,求a的取值范围.
(2)当0<a<2时,f(x)在[1,4]的最小值为,求f(x)在该区间上的最大值
解:(1)f′(x)=﹣x2+x+2a
f(x)在存在单调递增区间
∴f′(x)>0在有解
∵f′(x)=﹣x2+x+2a对称轴为
递减
解得
(2)当0<a<2时,△>0;
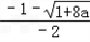
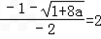
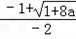
f′(x)=0得到两个根为(舍)

时,f′(x)>0;
时,f′(x)<0
当x=1时,f(1)=2a+
当x=4时,f(4)=8a<f(1)/
当x=4时最小∴=解得a=1
所以当x=时最大为
练习册系列答案
相关习题

科目:高中数学 来源: 题型:解答题

数学公式
(1)若f(x)在数学公式上存在单调递增区间,求a的取值范围.
(2)当0<a<2时,f(x)在[1,4]的最小值为数学公式,求f(x)在该区间上的最大值.

查看答案和解析>>

科目:高中数学 来源: 题型:解答题

数学公式
(1)若f(x)在数学公式上存在单调递增区间,求a的取值范围;
(2)当a=1时,求f(x)在[1,4]上的最值.

查看答案和解析>>

科目:高中数学 来源:2012-2013学年浙江省衢州市江山实验中学高三(上)9月月考数学试卷(理科)(解析版) 题型:解答题


(1)若f(x)在上存在单调递增区间,求a的取值范围.
(2)当0<a<2时,f(x)在[1,4]的最小值为,求f(x)在该区间上的最大值.

查看答案和解析>>

科目:高中数学 来源:2012-2013学年湖南省岳阳一中高三(上)第四次月考数学试卷(文科)(解析版) 题型:解答题


(1)若f(x)在上存在单调递增区间,求a的取值范围.
(2)当0<a<2时,f(x)在[1,4]的最小值为,求f(x)在该区间上的最大值.

查看答案和解析>>

科目:高中数学 来源:《导数》2013年高三一轮复习训练(襄阳八中)(解析版) 题型:解答题


(1)若f(x)在上存在单调递增区间,求a的取值范围.
(2)当0<a<2时,f(x)在[1,4]的最小值为,求f(x)在该区间上的最大值.

查看答案和解析>>

同步练习册答案