精英家教网 > 高中数学 > 题目详情

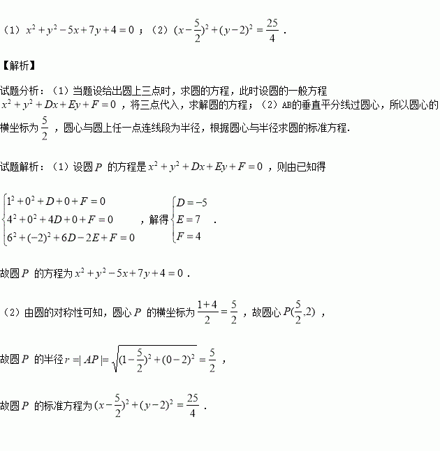
已知圆过点.

(1)若圆还过点,求圆的方程;

(2)若圆心的纵坐标为 ,求圆的方程.

练习册系列答案
相关习题

科目:高中数学 来源:2016-2017学年江西赣州寻乌中学高二上月考一文数学试卷(解析版) 题型:选择题

将半径为1的圆分割成面积之比为1:2:3的三个扇形作为三个扇形作为三个圆锥的侧面,设这三个圆锥底面半径依次为,那么的值为( )

A. B.2

C. D.1

查看答案和解析>>

科目:高中数学 来源:2016-2017学年江西赣州寻乌中学高二上月考一理数学试卷(解析版) 题型:选择题

以下四个命题中:

①在回归分析中,可用相关指数的值判断的拟合效果,越大,模型的拟合效果越好;

②两个随机变量的线性相关性越强,相关系数的绝对值越接近1;

③若数据的方差为1,则的方差为2;

④对分类变量的随机变量的观测值来说,越小,判断“有关系”的把握程度越大.其中真命题的个数为( )

A.1 B.2

C.3 D.4

查看答案和解析>>

科目:高中数学 来源:2016-2017学年湖北咸宁市高二上月考一数学(文)试卷(解析版) 题型:解答题

已知圆与圆关于直线对称,且点在圆上.

(1)判断圆与圆的位置关系;

(2)设为圆上任意一点,三点不共线,的平分线,且交. 求证:的面积之比为定值.

查看答案和解析>>

科目:高中数学 来源:2016-2017学年湖北咸宁市高二上月考一数学(文)试卷(解析版) 题型:选择题

若直线交于两点,则弦长的最小值为( )

A. B. C. D.

查看答案和解析>>

科目:高中数学 来源:2016-2017学年湖北咸宁市高二上月考一数学(文)试卷(解析版) 题型:选择题

已知高为5的四棱锥的俯视图是如图所示的矩形,则该四棱锥的体积为 ( )

A. B. C. D.

查看答案和解析>>

科目:高中数学 来源:2016-2017学年湖北咸宁市高二上月考一数学(理)试卷(解析版) 题型:选择题

如图给出了计算的值的一个程序框图,其中空白处应填入( )

A. B. C. D.

查看答案和解析>>

同步练习册答案