精英家教网 > 高中数学 > 题目详情

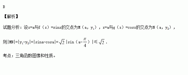
若动直线与函数的图像分别交于两点,则的最大值为( )

A.1 B. C. D.2

练习册系列答案
相关习题

科目:高中数学 来源:2014-2015学年江西省高一下学期第一次月考数学试卷(解析版) 题型:填空题

已知是等差数列的前n项和,且,给出下列五个命题:

④数列中的最大项为

其中正确命题有

查看答案和解析>>

科目:高中数学 来源:2014-2015学年湖南省益阳市高二3月月考理科数学试卷(解析版) 题型:解答题

(本小题满分12分)甲、乙两名射击运动员参加射击选拔训练,在相同的条件下,两人5次训练的成绩如下表(单位:环)

次数

1

2

3

4

5

6.5

10.2

10.5

8.6

6.8

10.0

9.5

9.8

9.5

7.0

(1)请画出茎叶图,从稳定性考虑,选派谁更好呢?说明理由(不用计算)。若从甲、乙两人5次成绩中各随机抽取一次,求抽取的成绩至少有一个低于9.0环的概率;

(2)若从甲、乙两人5次成绩中各随机抽取二次,设抽到10.0环以上(包括10.0环)的次数为,求随机变量的分布列和期望;

查看答案和解析>>

科目:高中数学 来源:2014-2015学年湖南省益阳市高二3月月考理科数学试卷(解析版) 题型:选择题

如图,D、E分别是AB、AC上两点,CD与BE相交于点O,下列条件中不能使ΔABE和ΔACD相似的是( )

A.∠B=∠C B.∠ADC=∠AEB

C.BE=CD,AB=AC D.AD∶AC=AE∶AB

查看答案和解析>>

科目:高中数学 来源:2014-2015学年湖南省高一下学期第一次月考数学试卷(解析版) 题型:填空题

关于三角函数的图像,有下列命题:

的图像关于y 轴对称;

的图像相同;

的图像关于y轴对称;

的图像关于y轴对称;

其中正确命题的序号是

查看答案和解析>>

科目:高中数学 来源:2014-2015学年湖南省高一下学期第一次月考数学试卷(解析版) 题型:选择题

( )

A. B. C. D.

查看答案和解析>>

科目:高中数学 来源:2014-2015学年河北省高二下学期第一次月考文科数学试卷(解析版) 题型:解答题

(本题满分8分)复数),

(1)若,求

(2)若在复平面内复数对应的点在第一象限,求的范围.

查看答案和解析>>

科目:高中数学 来源:2014-2015学年河北省高二下学期第一次月考文科数学试卷(解析版) 题型:选择题

下表为某班5位同学身高x(单位:cm)与体重y(单位kg)的数据,

身高

170

171

166

178

160

体重

75

80

70

85

65

若两个量间的回归直线方程为,则身高为185cm的学生的体重约为( )

A.87.6kg B.89.5kg C.91.4kg D.92.3kg

查看答案和解析>>

科目:高中数学 来源:2014-2015学年广东省揭阳市高二下学期第一次段考文科数学试卷(解析版) 题型:选择题

已知集合,则( )

A. B. C. D.

查看答案和解析>>

同步练习册答案