精英家教网 > 高中数学 > 题目详情
已知等差数列{ an}的前n项和Sn,若a5+a4=18,则S8=( )
A.72
B.54
C.36
D.18
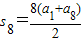
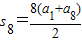
【答案】分析:由已知及等差数列的性质可求a1+a8,代入求和公式即可求解
解答:解:∵a5+a4=18
∴a1+a8=18
=72
故选A
点评:本题主要考查了等差数列的性质及求和公式的简单应用,属于基础试题
练习册系列答案
相关习题

科目:高中数学 来源: 题型:

已知等差数列数﹛an﹜的前n项和为Sn,等比数列﹛bn﹜的各项均为正数,公比是q,且满足:a1=3,b1=1,b2+S2=12,S2=b2q.
(Ⅰ)求an与bn
(Ⅱ)设cn=3bn-λ•2
an3
(λ∈R),若﹛cn﹜满足:cn+1>cn对任意的n∈N°恒成立,求λ的取值范围.

查看答案和解析>>

科目:高中数学 来源: 题型:

(08年周至二中三模理) 已知等差数列{an}的公差为2,若a1a3a4成等比数列,则a2等于         (    )

(A)-4   (B)-6     (C)-8     (D)-10

查看答案和解析>>

科目:高中数学 来源: 题型:

已知等差数列{an}中,a10=5,a13=20,求a50.

查看答案和解析>>

科目:高中数学 来源: 题型:

已知等差数列{an}的项数n为奇数,且奇数项和S=44,偶数项和S=33,求项数n及数列的中间项.

查看答案和解析>>

科目:高中数学 来源:2011-2012学年重庆市高三上学期第二次理科数学测试卷(解析版) 题型:选择题

已知等差数列{an}与{bn}的前n项和分别为Sn与Tn, 若, 则的值是  

A.             B.               C.           D.

 

查看答案和解析>>