精英家教网 > 高中数学 > 题目详情
抛物线y=2x2上两点A(x1,y1),B(x2,y2)关于直线y=x+m对称,若2x1x2=-1,则2m的值是( )
A.3
B.4
C.5
D.6
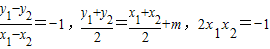
【答案】分析:由题意可得 ,y1=2x12,y2=2x22
变形得到x1+x2 =-,代入2m=(y1+y2)-(x1+x2) 进行运算.
解答:解:由,以及y1=2x12,y2=2x22 可得
 
=
故选 A.
点评:本题考查抛物线的简单性质的应用,两点关于某直线对称的性质,式子的变形是解题的难点.
练习册系列答案
相关习题

科目:高中数学 来源: 题型:

给出下列命题:
①已知椭圆
x2
16
+
y2
8
=1
的两个焦点为F1,F2,则这个椭圆上存在六个不同的点M,使得△F1MF2为直角三角形;
②已知直线l过抛物线y=2x2的焦点,且与这条抛物线交于A,B两点,则|AB|的最小值为2;
③若过双曲线C:
x2
a2
-
y2
b2
=1(a>0,b>0)
的一个焦点作它的一条渐近线的垂线,垂足为M,O为坐标原点,则|OM|=a;
④已知⊙C1:x2+y2+2x=0,⊙C2:x2+y2+2y-1=0,则这两个圆恰有2条公切线.
其中正确命题的序号是
 
.(把你认为正确命题的序号都填上)

查看答案和解析>>

科目:高中数学 来源: 题型:

给出下列命题:
①已知椭圆
x2
16
+
y2
8
=1两焦点F1,F2,则椭圆上存在六个不同点M,使得△F1MF2为直角三角形;
②已知直线l过抛物线y=2x2的焦点,且与这条抛物线交于A,B两点,则|AB|的最小值为2;
③若过双曲线C:
x2
a2
-
y2
b2
=1(a>0,b>0)的一个焦点作它的一条渐近线的垂线,垂足为M,O为坐标原点,则|OM|=a;
④根据气象记录,知道荆门和襄阳两地一年中雨天所占的概率分别为20%和18%,两地同时下雨的概率为12%,则荆门为雨天时,襄阳也为雨天的概率是60%.
其中正确命题的序号是(  )

查看答案和解析>>

科目:高中数学 来源: 题型:

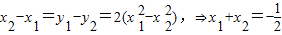
已知A(x1,y1)、B(x2,y2)是抛物线y=2x2上两个不同点,若x1x2=-
12
,且A、B两点关于直线y=x+m对称,试求m的值.

查看答案和解析>>

科目:高中数学 来源:不详 题型:解答题

已知A(x1,y1)、B(x2,y2)是抛物线y=2x2上两个不同点,若x1x2=-
1
2
,且A、B两点关于直线y=x+m对称,试求m的值.

查看答案和解析>>

科目:高中数学 来源:2011-2012学年安徽省六安市舒城县龙河中学高二(下)期末数学试卷(理科)(解析版) 题型:解答题

已知A(x1,y1)、B(x2,y2)是抛物线y=2x2上两个不同点,若x1x2=-,且A、B两点关于直线y=x+m对称,试求m的值.

查看答案和解析>>

同步练习册答案