精英家教网 > 高中数学 > 题目详情

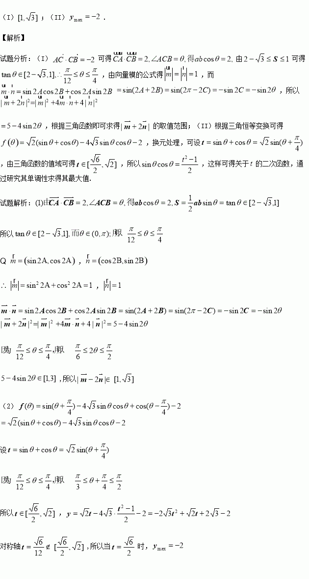
已知的面积满足,且,.

(Ⅰ)若,求的取值范围;

(Ⅱ)求函数的最大值.

练习册系列答案
相关习题

科目:高中数学 来源:2016届广西五市高三5月联合模拟数学(理)试卷(解析版) 题型:选择题

设集合,集合,则( )

A. B. C. D.

查看答案和解析>>

科目:高中数学 来源:2016届福建漳州市高三毕业班5月质检数学(文)试卷(解析版) 题型:选择题

已知函数,则函数的单调递增区间是( )

A. B.

C. D.

查看答案和解析>>

科目:高中数学 来源:2016届福建漳州市高三毕业班5月质检数学(理)试卷(解析版) 题型:选择题

已知函数,则下列结论正确的是( )

A.的周期为 B.上单调递减

C.的最大值为 D.的图象关于直线对称

查看答案和解析>>

科目:高中数学 来源:2016届福建漳州市高三毕业班5月质检数学(理)试卷(解析版) 题型:选择题

执行如图所示的程序框图,输出的值是( )

A.31 B.63 C.64 D.127

查看答案和解析>>

科目:高中数学 来源:2015-2016学年辽宁东北育才学校高一下段考二数学试卷(解析版) 题型:解答题

设锐角△内角所对应的边分别为.已知

(Ⅰ)求角的大小;

(Ⅱ)若,求

查看答案和解析>>

科目:高中数学 来源:2015-2016学年辽宁东北育才学校高一下段考二数学试卷(解析版) 题型:选择题

中,是直角, 的内切圆交于点,点是图中阴影区域内的一点(不包含边界),若,则的值可以是( )

A. B. C. D.

查看答案和解析>>

科目:高中数学 来源:2015-2016学年河北唐山一中高一下学期期末数学文试卷(解析版) 题型:填空题

,则的最小值是

查看答案和解析>>

科目:高中数学 来源:2016届四川凉山州高三第三次诊断数学(文)试卷(解析版) 题型:解答题

2016年1月份,某家电公司为了调查用户对该公司售后服务的满意度,随机调查了10名使用该公司产品的用户,用户通过“10分制”对公司售后服务进行评价.分数不低于9.5分的用户为满意用户,分数低于9分的用户为不满意用户,其它分数的用户为基本满意用户.已知这10名用户的评分分别为:

(1)从这10名用户的不满意用户和基本满意用户中各抽取一人,求这两名用户评分之和大于18的概率;

(2)从这10名用户的满意用户和基本满意用户中任意抽取两人,求这两名用户至少有一人为满意用户的概率.

查看答案和解析>>

同步练习册答案