精英家教网 > 高中数学 > 题目详情
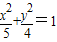
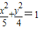
若椭圆的焦点在x轴上,过点(1,)做圆x2+y2=1的切线,切点分别为A,B,直线AB恰好经过椭圆的右焦点和上顶点,则椭圆的方程是   
【答案】分析:设出切点坐标,利用切点与原点的连线与切线垂直,列出方程得到AB的方程,将右焦点坐标及上顶点坐标代入AB的方程,求出参数c,b;利用椭圆中三参数的关系求出a.,求出椭圆方程.
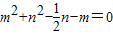
解答:解:设切点坐标为(m,n)则

∵m2+n2=1
∴m
即AB的直线方程为2x+y-2=0
∵线AB恰好经过椭圆的右焦点和上顶点
∴2c-2=0;b-2=0
解得c=1,b=2
所以a2=5
故椭圆方程为
故答案为
点评:本题考查圆的切线的性质、椭圆中三参数的关系:a2=b2+c2
练习册系列答案
相关习题

科目:高中数学 来源: 题型:

已知椭圆的顶点与双曲线
y2
4
-
x2
12
=1
的焦点重合,它们的离心率之和为
13
5
,若椭圆的焦点在x轴上,求椭圆的标准方程.

查看答案和解析>>

科目:高中数学 来源: 题型:

一个椭圆长轴的长度、短轴的长度和焦距成等差数列,(1)求椭圆的离心率;(2)若椭圆的焦点在x轴上且短轴长为8,求椭圆的标准方程.

查看答案和解析>>

科目:高中数学 来源: 题型:

(2011•浦东新区三模)若椭圆的焦点在x轴上,焦距为2,且经过(
5
,0)
,则椭圆的标准方程为
x2
5
+
y2
4
=1
x2
5
+
y2
4
=1

查看答案和解析>>

科目:高中数学 来源:新课标版高二数学选修1-1圆锥曲线方程专项训练(陕西) 题型:选择题

若椭圆的焦点在x轴上,且离心率e=,则m的值为(   )

(A)        (B)2           (C)-        (D)±

 

查看答案和解析>>

科目:高中数学 来源:2011年高考试题数学理(江西卷)解析版 题型:填空题

 若椭圆的焦点在x轴上,过点作圆的切线,切点分别为A,B,直线AB恰好经过椭圆的右焦点和上顶点,则椭圆方程是          .

 

查看答案和解析>>

同步练习册答案