精英家教网 > 高中数学 > 题目详情

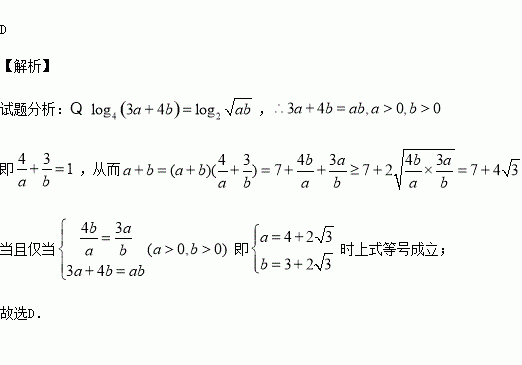
,则的最小值为( )

A. B. C. D.

练习册系列答案
相关习题

科目:高中数学 来源:2015-2016学年辽宁省大连市高二上期中文科数学试卷(解析版) 题型:选择题

抛物线的焦点坐标为

(A) (B) (C) (D)

查看答案和解析>>

科目:高中数学 来源:2015-2016学年河北省邢台市高二上第一次月考数学试卷(解析版) 题型:填空题

若某几何体的三视图如下图所示,则此几何体的体积是

查看答案和解析>>

科目:高中数学 来源:2016届重庆市高三上学期第三次月考文科数学试卷(解析版) 题型:选择题

已知函数是定义域为的偶函数,且在上单调递增,则不等式 的解集为( )

A. B.

C. D.

查看答案和解析>>

科目:高中数学 来源:2016届重庆市高三上学期第三次月考理科数学试卷(解析版) 题型:选择题

定义行列式运算:,函数,则要得到函数的图像,只需将的图像( )

A.向左平移个单位 B.向左平移个单位

C.向右平移个单位 D.向右平移个单位

查看答案和解析>>

科目:高中数学 来源:2016届云南省玉溪市高三上学期期中理科数学试卷(解析版) 题型:选择题

若实数满足不等式组,目标函数的最大值为,则实数的值是( )

A. B. C. D.

查看答案和解析>>

科目:高中数学 来源:2016届辽宁省葫芦岛市高三上学期期中文科数学试卷(解析版) 题型:选择题

关于的不等式的解集为,则的最小值是( )

A. B. C. D.

查看答案和解析>>

科目:高中数学 来源:2016届黑龙江省牡丹江市高三上学期期中理科数学试卷(解析版) 题型:解答题

(本小题满分12分)如图,在多面体中,底面是边长为的的菱形,,四边形是矩形,平面平面分别是的中点.

(Ⅰ)求证:平面平面

(Ⅱ)求二面角的大小.

查看答案和解析>>

科目:高中数学 来源:2015-2016学年吉林实验中学高二上学期期中理科数学试卷(解析版) 题型:解答题

(本小题12分)已知

求(Ⅰ)的取值范围;

(Ⅱ)的最小值.

查看答案和解析>>

同步练习册答案