精英家教网 > 高中数学 > 题目详情
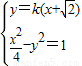
直线与双曲线有且只有一个公共点,则k的不同取值有( )
A.1个
B.2个
C.3个
D.4个
【答案】分析:将直线方程与曲线方程联立,化简得,再进行分类讨论.
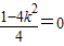
解答:解:联立得,即
时,,满足题意;
时,△=0有两解.
故选D.
点评:直线与双曲线的交点问题通常是联立方程组求解,应注意二次项系数为0时,直线与曲线也只有一个公共点.
练习册系列答案
相关习题

科目:高中数学 来源: 题型:

2、“直线与双曲线有且只有一个公共点”是“直线与双曲线相切”的(  )

查看答案和解析>>

科目:高中数学 来源: 题型:

已知点A(0,2)和双曲线x2-
y24
=1

(1)求过点A可作几条直线与双曲线有且只有一个公共点;
(2)当过点A的直线与双曲线有两个不同的公共点时,求直线的斜率的取值范围;
(3)当过点A的直线与双曲线没有公共点时,求直线的斜率的取值范围.

查看答案和解析>>

科目:高中数学 来源: 题型:

过双曲线x2-y2=1的右顶点作直线与双曲线有且只有一个公共点的直线有(  )
A、4条B、3条C、2条D、1条

查看答案和解析>>

科目:高中数学 来源:2014届黑龙江省高二上学期期中考试理科数学试卷(解析版) 题型:填空题

直线与双曲线有且只有一个公共点,则      

 

查看答案和解析>>

科目:高中数学 来源:2013届浙江省温州八校高二上学期期末联考理科数学试卷 题型:选择题

已知集合,直线与双曲线有且只有一个公共点,其中,则满足上述条件的双曲线共有(  ▲  )

 

A. 1个           B. 2个         C.  3个           D.  4个

 

 

查看答案和解析>>

同步练习册答案