精英家教网 > 高中数学 > 题目详情

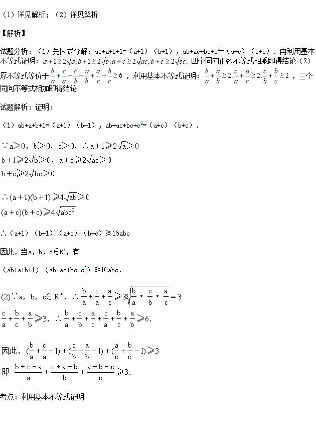
(本题满分10分).选修4-5:不等式选讲

已知a,b,c∈R+,求证:

(1)(ab+a+b+1)(ab+ac+bc+c2)≥16abc;

练习册系列答案
相关习题

科目:高中数学 来源:2015-2016学年宁夏育才中学高二上期中考试文科数学试卷(解析版) 题型:解答题

(本小题12分)某企业生产甲、乙两种产品,已知生产每吨甲产品要用A原料3吨,B原料2吨;生产每吨乙产品要用A原料1吨,B原料3吨,销售每吨甲产品可获得利润5万元,每吨乙产品可获得利润3万元.该企业在一个生产周期内消耗A原料不超过13吨,B原料不超过18吨.求该企业获得的最大利润.

查看答案和解析>>

科目:高中数学 来源:2015-2016学年河北衡水中学高二上二调考试理科数学试卷(解析版) 题型:选择题

将参加夏令营的名学生编号为:.采用系统抽样的方法抽取一个容量为的样本,且随机抽得的号码为.这名学生分住在三个营区,从在第I营区,从在第II营区,从496到600在第III营区,三个营区被抽中的人数依次为 ( )

A.26,16,8 B.25,17,8 C.25,16,9 D.24,17,9

查看答案和解析>>

科目:高中数学 来源:2016届山东省高三10月月考文科数学试卷(解析版) 题型:解答题

(本题满分12分)已知二次函数

(Ⅰ)若且函数的值域为求函数的解析式;

(Ⅱ)若且函数上有两个零点,求的取值范围.

查看答案和解析>>

科目:高中数学 来源:2016届山东省高三10月月考理科数学试卷(解析版) 题型:解答题

(本题满分12分)已知函数

(Ⅰ)若函数的图象在处的切线方程为的值;

(Ⅱ)若函数上是增函数,求实数的最大值.

查看答案和解析>>

科目:高中数学 来源:2016届辽宁省抚顺市高三10月月考文科数学试卷(解析版) 题型:解答题

(本小题满分10分)选修4-1:几何证明选讲

如图,四边形ABCD是圆的内接四边形,延长BA和CD相交于点P,

(Ⅰ)求的值;

(Ⅱ)若BD为圆的直径,且,求BC的长.

查看答案和解析>>

科目:高中数学 来源:2016届辽宁省抚顺市高三10月月考理科数学试卷(解析版) 题型:解答题

(本小题满分10分)选修4-5:不等式选讲

已知函数

(Ⅰ)解不等式

(Ⅱ)若存在实数x,使得,求实数a的取值范围.

查看答案和解析>>

科目:高中数学 来源:2016届黑龙江省牡丹江市高三10月月考文科数学试卷(解析版) 题型:解答题

已知向量,且

(Ⅰ)若,求的值;

(Ⅱ)设的内角的对边分别为,且,求函数的值域.

查看答案和解析>>

科目:高中数学 来源:2016届河北省高三二调理科数学试卷(解析版) 题型:选择题

函数的图象所有交点的横坐标之和为( )

A. B. C. D.

查看答案和解析>>

同步练习册答案