精英家教网 > 高中数学 > 题目详情
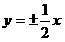
已知双曲线的渐近线方程为,且经过点A(2,-3),求此双曲线的标准方程.
解:∵双曲线的渐近线方程为
(1)若焦点在x 轴上,设所求双曲线的标准方程为=1(a>0,b≥0),

∵A(2,-3)在双曲线上,

由①、②联立,得此方程组无解.
(2),设所求双曲线的标准方程为=1(a>0,b>0),

∵A(2,-3)在双曲线上,

由③、④联立,解得a2 =8,b2=32.
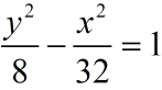
∴所求双曲线的标准方程为
练习册系列答案
相关习题

科目:高中数学 来源: 题型:

已知双曲线的渐近线方程为2x±3y=0,F(0,-5)为双曲线的一个焦点,则双曲线的方程为(  )
A、
y2
4
-
x2
9
=1
B、
13y2
100
-
13x2
225
=1
C、
x2
9
-
y2
4
=1
D、
13y2
225
-
13x2
100
=1

查看答案和解析>>

科目:高中数学 来源: 题型:

已知双曲线的渐近线方程为y=±2x,且与
x2
49
+
y2
24
=1
有相同的焦点,则其标准方程为
 

查看答案和解析>>

科目:高中数学 来源: 题型:

已知双曲线的渐近线方程为y=±
4
3
x
,并且焦距为20,则双曲线的标准方程为
x2
36
-
y2
64
=1,
y2
64
-
x2
36
=1
x2
36
-
y2
64
=1,
y2
64
-
x2
36
=1

查看答案和解析>>

科目:高中数学 来源: 题型:

已知双曲线的渐近线方程为y=±3x,且一个顶点的坐标是(0,3),则此双曲线的方程为(  )

查看答案和解析>>

科目:高中数学 来源: 题型:

已知双曲线的渐近线方程为2x±3y=0,F(0,-5)为双曲线的一个焦点,则双曲线的方程为
y2
100
13
-
x2
225
13
=1
y2
100
13
-
x2
225
13
=1

查看答案和解析>>

同步练习册答案