精英家教网 > 高中数学 > 题目详情

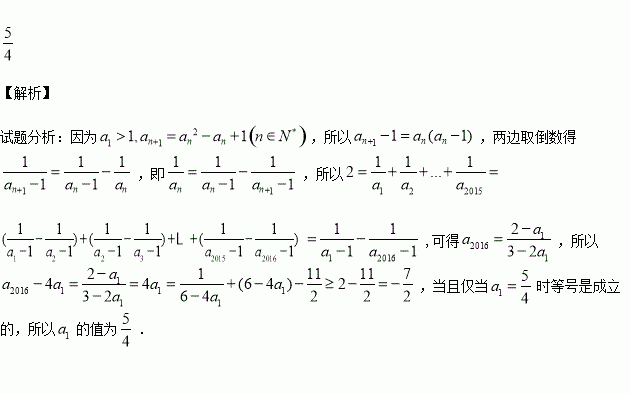
在数列中,已知,且,则当取得最小值时,的值为

练习册系列答案
相关习题

科目:高中数学 来源:2015-2016学年四川绵阳南山中学高二下期中理科数学卷(解析版) 题型:解答题

已知曲线,直线为参数).

(I)写出曲线的参数方程,直线的普通方程;

(II)过曲线上任一点作与夹角为的直线,交于点,求的最大值与最小值.

查看答案和解析>>

科目:高中数学 来源:2015-2016学年山东省高一下期中数学试卷(解析版) 题型:解答题

已知函数的最小正周期为

(I)求的值;

(II)将函数的图象上各点的横坐标缩短到原来的,纵坐标不变,得到函数的图象,求函数在区间上的值域.

查看答案和解析>>

科目:高中数学 来源:2015-2016学年山东省高一下期中数学试卷(解析版) 题型:选择题

若sin(3π+α)=-,则cos等于( )

A. B. C. D.-

查看答案和解析>>

科目:高中数学 来源:2015-2016学年河北省高二6月月考理科数学试卷(解析版) 题型:解答题

已知函数.

(1)讨论上的单调性;

(2)设,直线是曲线在点处的切线, 直线是曲线在点处的切线. 若对任意点,总存在点,使得的下方,求实数的取值范围.

查看答案和解析>>

科目:高中数学 来源:2015-2016学年河北省高二6月月考理科数学试卷(解析版) 题型:选择题

已知四面体的一条棱长为,其余棱长均为,且所有顶点都在表面积为的球面上,则 的值等于( )

A. B. C. D.

查看答案和解析>>

科目:高中数学 来源:2015-2016学年河北省高二6月月考理科数学试卷(解析版) 题型:选择题

已知是虚数单位,命题:在复平面内,复数对应的点位于第二象限;命题:复数的模等于,若是真命题,则实数的值等于( )

A. B. C. D.

查看答案和解析>>

科目:高中数学 来源:2015-2016学年安徽六安一中高一下周末统测十二数学试卷(解析版) 题型:选择题

的值( )

A. B.0 C. D.

查看答案和解析>>

科目:高中数学 来源:2015-2016学年福建省高一3月月考数学试卷(解析版) 题型:选择题

函数的最小值是( )

A. B. C. D.

查看答案和解析>>

同步练习册答案