精英家教网 > 高中数学 > 题目详情

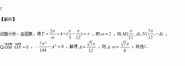
若函数在一个周期内的图象如图所示,分别是这段图象的最高点和最低点,且,(为坐标原点),则=( )

A、 B、 C、 D、

练习册系列答案
相关习题

科目:高中数学 来源:2015-2016学年广东省汕头市高一上学期期中考试数学试卷(解析版) 题型:选择题

设全集U=,则( )

A、 B、 C、 D、

查看答案和解析>>

科目:高中数学 来源:2015-2016学年吉林省高二11月月考文科数学卷(解析版) 题型:选择题

若一个椭圆长轴的长度、短轴的长度和焦距依次成等差数列,则该椭圆的离心率是( )

A. B. C. D.

查看答案和解析>>

科目:高中数学 来源:2015-2016学年湖北武汉华中师大一附高二上期中理数学卷(解析版) 题型:选择题

过抛物线的焦点F作斜率为1的直线,交抛物线于A、B两点,若

等于( )

A. B. C. D.

查看答案和解析>>

科目:高中数学 来源:2016届宁夏六盘山高中高三上学期第二次月考文科数学试卷(解析版) 题型:选择题

已知复数,则其共轭复数在复平面上对应的点位于( )

A、第一象限 B、第二象限 C、第三象限 D、第四象限

查看答案和解析>>

科目:高中数学 来源:2016届江苏省高三上学期周练数学试卷(解析版) 题型:填空题

已知函数,则函数的值域为

查看答案和解析>>

科目:高中数学 来源:2016届湖南省株洲市高三上学期期中文科数学试卷(解析版) 题型:选择题

某四棱锥的底面为正方形,其三视图如图所示,则该四棱锥的体积等于

A.1 B.2 C.3 D.4

查看答案和解析>>

科目:高中数学 来源:2016届湖北武汉华中师大一附等高三上第一次联考理数学卷(解析版) 题型:选择题

如图所示,在正六边形中,点内(包括边界)的一个动点,设,则的取值范围是( )

A. B. C. D.

查看答案和解析>>

科目:高中数学 来源:2014-2015学年广东省心学校高一上学期期末数学试卷(解析版) 题型:填空题

在△ABC中,O为中线AM上的一个动点,若AM =2,则)的最小值是________.

查看答案和解析>>

同步练习册答案