精英家教网 > 高中数学 > 题目详情
与双曲线有相同的焦点,且过点Q(2,1)的圆锥曲线方程为   
【答案】分析:利用双曲线方程求得其焦点坐标,进而设出双曲线或椭圆的方程,把已知点代入即可气的a,求得双曲线或椭圆的方程.
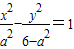
解答:解:(1)由题意知双曲线焦点为F1,0)F2,0),
可设双曲线方程为,
点Q(2,1)在曲线上,代入得a2=3
∴双曲线的方程为
(2)由题意知双曲线焦点为F1,0)F2,0),
可设椭圆方程为
点Q(2,1)在曲线上,代入得a2=8
∴椭圆的方程为
故答案为:
点评:本题主要考查了圆锥曲线的共同特征,双曲线和椭圆的简单性质.解答关键是学生要对圆锥曲线基础知识理解和应用.
练习册系列答案
相关习题

科目:高中数学 来源: 题型:

精英家教网已知双曲线
2x2
9
-
2y2
3
=1
,椭圆C与双曲线有相同的焦点,两条曲线的离心率互为倒数.
(1)求椭圆的方程;
(2)椭圆C经过点M,点M的横坐标为2,平行于OM的直线l在y轴上的截距为m,l交椭圆于A、B两个不同点,求m的取值范围;
(3)在(2)的条件下,求证:直线MA、MB与x轴始终围成一个等腰三角形.

查看答案和解析>>

科目:高中数学 来源:2013-2014学年山东省济南市高三上学期期末考试理科数学试卷(解析版) 题型:选择题

已知抛物线与双曲线有相同的焦点F,点A是两曲线的一个交点,且轴,则双曲线的离心率为(    )

A.2      B.    C.     D.

 

查看答案和解析>>

科目:高中数学 来源:2012-2013学年黑龙江省高三上学期期末考试理科数学试卷(解析版) 题型:选择题

已知抛物线与双曲线有相同的焦点,点是两曲线的交点,且轴,则双曲线的离心率为(   )

A.           B.           C.           D.

 

查看答案和解析>>

科目:高中数学 来源:2013届云南大理宾川四中高二1月月考理科数学试卷(解析版) 题型:选择题

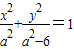
椭圆与双曲线有相同的焦点,则a的值是(       )

A.     B.1或–2    C.1或       D.1

 

查看答案和解析>>

科目:高中数学 来源:2010-2011学年浙江省高三上学期期中考试数学文卷 题型:填空题

已知抛物线与双曲线有相同的焦点F,点A是两曲线的交点,且轴,则双曲线的离心率为             

 

查看答案和解析>>

同步练习册答案