精英家教网 > 高中数学 > 题目详情

设集合, ,则是( )

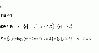
A、S B、T C、有限集 D、

练习册系列答案
相关习题

科目:高中数学 来源:2016届黑龙江牡丹江一中高三10月月考文数学试卷(解析版) 题型:选择题

若函数f(x)=sin (φ∈[0,2π])是偶函数,则φ=( )

A. B. C. D.

查看答案和解析>>

科目:高中数学 来源:2015-2016学年黑龙江哈尔滨师大附中高二上期中文数学卷(解析版) 题型:选择题

直线与双曲线的左支有两个公共点,则的取值范围是

A. B. C. D.

查看答案和解析>>

科目:高中数学 来源:2015-2016学年河北石家庄二中高一上学期期中数学试卷(解析版) 题型:选择题

是奇函数,则使的取值范围是( )

A. B. C. D.

查看答案和解析>>

科目:高中数学 来源:2015-2016学年广东汕头市高二10月月考数学卷(解析版) 题型:选择题

已知直线经过不同两点,直线经过不同两点,且,则实数a的值是( )

A. B. C. D.0或

查看答案和解析>>

科目:高中数学 来源:2015-2016学年江苏省高邮市高一上学期期中调研数学试卷(解析版) 题型:填空题

已知幂函数的图象过点,则幂函数的解析式

查看答案和解析>>

科目:高中数学 来源:2015-2016学年陕西省西安市高二上学期期中考试文科数学试卷(解析版) 题型:解答题

已知等差数列{an}满足a2=2,a5=8.

(1)求{an}的通项公式;

(2)各项均为正数的等比数列{bn}中,b1=1,b2+b3=a4,求{bn}的前n项和Tn.

查看答案和解析>>

科目:高中数学 来源:2016届四川省成都市高三11月段测三理科数学试卷(解析版) 题型:解答题

已知数列{an}的前n项和为Sn,若Sn=2an+n,且bn=

(1)求数列{an}的通项公式;

(2)求数列{bn}的前n项和Tn.

查看答案和解析>>

科目:高中数学 来源:2015-2016学年安徽师大附中高二上学期期中文科数学试卷(解析版) 题型:选择题

直线过点A(1,2),且不经过第四象限,那么直线的斜率的取值范围是( )

A.[0,2] B.[0,1] C.[0,] D.(0,

查看答案和解析>>

同步练习册答案