精英家教网 > 高中数学 > 题目详情

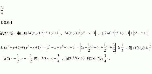
,设,其中,则的最小值是__________.

练习册系列答案
相关习题

科目:高中数学 来源:2017届湖北黄石市高三9月调研数学(文)试卷(解析版) 题型:解答题

选修4-4:坐标系与参数方程

在直角坐标系,以坐标原点为极点,轴正半轴为极轴建立极坐标系,半圆的极坐标方程为

(1)求的参数方程;

(2)设点上,处的切线与直线垂直,根据(1)中你得到的参数方程,确定的坐标.

查看答案和解析>>

科目:高中数学 来源:2017届山东枣庄三中高三9月质检数学(文)试卷(解析版) 题型:选择题

设全集是实数集,则图中阴影部分所表示的集合是( )

A. B.

C. D.

查看答案和解析>>

科目:高中数学 来源:2017届山东枣庄三中高三9月质检数学(理)试卷(解析版) 题型:选择题

函数的定义域和值域都是,则 ( )

A. B. C. D.

查看答案和解析>>

科目:高中数学 来源:2017届浙江温州市高三8月模拟考试数学试卷(解析版) 题型:解答题

,函数是自然对数的底数).

(1)证明:存在一条定直线与曲线都相切;

(2)若恒成立,求的值

查看答案和解析>>

科目:高中数学 来源:2017届浙江温州市高三8月模拟考试数学试卷(解析版) 题型:填空题

已知等差数列的前项和为,若,则__________,_________.

查看答案和解析>>

科目:高中数学 来源:2017届浙江温州市高三8月模拟考试数学试卷(解析版) 题型:选择题

设实数满足,则的最大值为( )

A. B. C.2 D.3

查看答案和解析>>

科目:高中数学 来源:2017届内蒙古高三上入学摸底数学理试卷(解析版) 题型:选择题

双曲线的渐近线与抛物线相切,则该双曲线的离心率为

A. B.2 C. D.

查看答案和解析>>

科目:高中数学 来源:2015-2016学年海南省高二下学期期末数学(理)试卷(解析版) 题型:填空题

已知函数,则___________

查看答案和解析>>

同步练习册答案