精英家教网 > 高中数学 > 题目详情

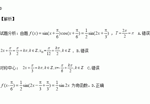
已知函数,给出下列结论正确的是( )

A. B.

C. D.

练习册系列答案
相关习题

科目:高中数学 来源:2015-2016学年广东中山一中高二上第二次段考数学卷(解析版) 题型:选择题

已知数列为等差数列,若且它的前项和有最大值,则使成立的的最大值为

A. B. C. D.

查看答案和解析>>

科目:高中数学 来源:2015-2016学年江西省抚州市高一上学期期末质量检测数学试卷(解析版) 题型:填空题

某同学在借助计算器求“方程的近似解(精确)”时,设,算得;在以下过程中,他用“二分法”又取了4个x的值,计算了其函数值的正负,并得出判断:方程的近似解是.那么他所取的x的4个值中最后一个值是 .

查看答案和解析>>

科目:高中数学 来源:2015-2016学年江西省南昌市等高一上学期期末联考数学试卷(解析版) 题型:解答题

已知函数对实数满足,若当时,

(1)求时,的解析式;

(2)求方程的实数解的个数。

查看答案和解析>>

科目:高中数学 来源:2015-2016学年江西省南昌市等高一上学期期末联考数学试卷(解析版) 题型:填空题

若集合,则集合中的元素个数为_________.

查看答案和解析>>

科目:高中数学 来源:2015-2016学年江西省南昌市等高一上学期期末联考数学试卷(解析版) 题型:选择题

已知向量,则=( )

A.1 B.2 C.3 D.4

查看答案和解析>>

科目:高中数学 来源:2015-2016学年山东省菏泽市高一上学期期末考试数学试卷(解析版) 题型:填空题

如图所示,在正方体中,M是AB上一点, N是A1C的中点,MN⊥平面A1DC.

(1)求证:AD1⊥平面A1DC;

(2)求MN与平面ABCD所成的角.

查看答案和解析>>

科目:高中数学 来源:2016届江苏省淮安市高三5月信息卷(最后一模)考试数学试卷(解析版) 题型:填空题

已知非空集合满足.若存在非负整数,使得当时,均有,则称集合具有性质.设具有性质的集合的个数为

(1)求的值;

(2)求的表达式.

查看答案和解析>>

科目:高中数学 来源:2015-2016学年河北省高二下学期第一次月考理科数学试卷(解析版) 题型:选择题

用数学归纳法证明(n+1)(n+2)…(n+n)=2n·1·3…(2n-1)(n∈N*)时,从“n=k到n=k+1”左边需增乘的代数式为( )

A.2k+1 B.2(2k+1) C. D.

查看答案和解析>>

同步练习册答案