精英家教网 > 高中数学 > 题目详情
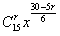
二项式的展开式中:
(1)求常数项;
(2)有几个有理项;
(3)有几个整式项。
解:展开式的通项为:Tr+1=(-1)r=(-1)r2r
(1)设Tr+1项为常数项,则=0,得r=6,即常数项为T7=26
(2)设Tr+1项为有理项,则=5-r为整数,
∴r为6的倍数,
又∵0≤r≤15,
∴r可取0,6,12三个数。
(3)5-r为非负整数,得r=0或6,
∴有两个整式项。
练习册系列答案
相关习题

科目:高中数学 来源: 题型:

在二项式的展开式中,所有二项式系数的和是32,则展开式中各项系数的和为(  )

查看答案和解析>>

科目:高中数学 来源:2014届江西南昌八一中学洪都中学南昌十五中高二5月理科数学(解析版) 题型:解答题

在二项式的展开式中,

(Ⅰ)若第5项,第6项与第7项的二项式系数成等差数列,求展开式中二项式系数最大的项;

(Ⅱ)若前三项的二项式系数和等于79,求展开式中系数最大的项.

 

查看答案和解析>>

科目:高中数学 来源:2013届广西武鸣高中高二下学期期中理科数学试卷(解析版) 题型:选择题

在二项式的展开式中,含的项的系数是  (    )

A、           B、        C、       D、

 

查看答案和解析>>

科目:高中数学 来源:2011-2012学年黑龙江省哈尔滨市高三第一次模拟考试理科数学试卷(解析版) 题型:选择题

二项式的展开式中的常数项是

A、第10项           B、第9项             C、第8项             D、第7项

 

查看答案和解析>>

科目:高中数学 来源:2010-2011学年广东省汕头市高三上学期期末数学理卷 题型:选择题

为函数的最大值,则二项式的展开式中含项的系数是(    )

     A.192             B.182             C.-192          D.-182

 

查看答案和解析>>

同步练习册答案