精英家教网 > 高中数学 > 题目详情

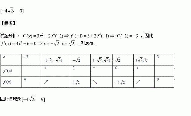
函数,则函数在区间上的值域是______.

练习册系列答案
相关习题

科目:高中数学 来源:2015-2016学年福建省高二下半期理科数学试卷(解析版) 题型:解答题

设函数

(1)证明:上单调递减,在上单调递增;

(2)若对于任意,都有的取值范围.

查看答案和解析>>

科目:高中数学 来源:2015-2016学年江苏省高一下期中数学试卷(解析版) 题型:填空题

在函数的最小正周期为________.

查看答案和解析>>

科目:高中数学 来源:2015-2016学年江苏省高二下期中数学试卷(解析版) 题型:填空题

为了了解我校今年准备报考飞行员的学生的体重情况,将所得的数据整理后,画出了频率分布直方图(如图),已知图中从左到右的前3个小组的频率之比为1:2:3,第2小组的频数12,则抽取的学生总人数是_______.

查看答案和解析>>

科目:高中数学 来源:2015-2016学年云南省高二4月月考文科数学卷(解析版) 题型:解答题

设函数.

(1)当时,求函数的单调区间;

(2)若在区间上是增函数,求实数的取值范围.

查看答案和解析>>

科目:高中数学 来源:2015-2016学年云南省高二4月月考文科数学卷(解析版) 题型:选择题

若双曲线)的一条渐近线被圆截得的弦长为,则双曲线的离心率为( )

A. B. C. D.

查看答案和解析>>

科目:高中数学 来源:2015-2016学年云南省高二4月月考文科数学卷(解析版) 题型:选择题

已知函数,则下面区间不是递减区间的是( )

A. B. C. D.(1,+∞)

查看答案和解析>>

科目:高中数学 来源:2015-2016学年云南省高二4月月考理科数学卷(解析版) 题型:选择题

由直线x=,x=,y=0与曲线y=cos x所围成的封闭图形的面积为( )

A. B.1 C. D.

查看答案和解析>>

科目:高中数学 来源:2016届江苏省苏州大学高考考前指导卷1数学试卷(解析版) 题型:填空题

已知双曲线的一条渐近线平行于直线l:y=2x+10,且它的一个焦点在直线l上,则双曲线C的方程为

查看答案和解析>>

同步练习册答案