精英家教网 > 高中数学 > 题目详情
2009年,全运会在山东济南举行,在全运会垒球比赛前,某省队教练布置战术时,要求击球手以与连接本垒及游击手的直线成15°的方向把球击出,根据经验及测速仪的显示,通常情况下球速为游击手最大跑速的4倍,问按这样的布置游击手能不能接着球?
解:假设游击手能接着球,接球点为B,
而游击手从点A跑出,本垒为O点(如右图所示),
设击出球到接着球的时间为t,球速为ν,
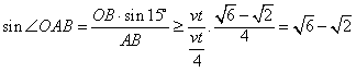
则OB=νt,AB≤
在△AOB中,∠AOB=15°,
由正弦定理得

,即sin∠OAB>1,
故这样的∠OAB不存在,因此游击手不能接着球。
练习册系列答案
相关习题

科目:高中数学 来源: 题型:

2、在2009年全运会女子百米冠军王静传出兴奋剂事件后,许多网民表达了自己的意见,有的网友进行了调查,在参加调查的4258名男性公民中有2360名认为其服用了兴奋剂,3890名女性公民中有2386人认为遭人陷害,在运用这些数据说明王静兴奋剂事件是否遭人陷害时用什么方法最有说服力?(  )

查看答案和解析>>

科目:高中数学 来源: 题型:

精英家教网2009年第十一届全国运动会在美丽的泉城济南胜利召开,下表为济南全运会官方票务网站公布的几种球类比赛的门票价格,某球迷赛前准备用12 000元预订15张下表中球类比赛的门票:
若在准备资金允许的范围内和总票数不变的前提下,该球迷想预订上表中三种球类比赛门票,其中足球比赛门票数与乒乓球比赛门票数相同,且足球比赛门票的费用不超过男篮比赛门票的费用,求可以预订的男篮比赛门票数.

查看答案和解析>>

科目:高中数学 来源: 题型:

2009年,第十一届全运会在济南举行,10月16日,某企业组织观看了开幕式.企业中共有3200名职工,其中中、青、老年职工的人数比例为5:3:2,为了解这次活动在职工中的影响,现从职工中抽取一个容量为400的样本,应该采用哪种抽样方法更合理?中、青、老年职工应分别抽取多少人?

查看答案和解析>>

科目:高中数学 来源:2014届山东省高一3月月考数学试卷(解析版) 题型:解答题

2009年,第十一届全运会在济南举行,10月16日,某企业组织观看了开幕式。企业中共有3200名职工,其中中、青、老年职工的人数比例为5:3:2,为了解这次活动在职工中的影响,现从职工中抽取一个容量为400的样本,应该采用哪种抽样方法更合理?中、青、老年职工应分别抽取多少人?

 

查看答案和解析>>

同步练习册答案