精英家教网 > 高中数学 > 题目详情

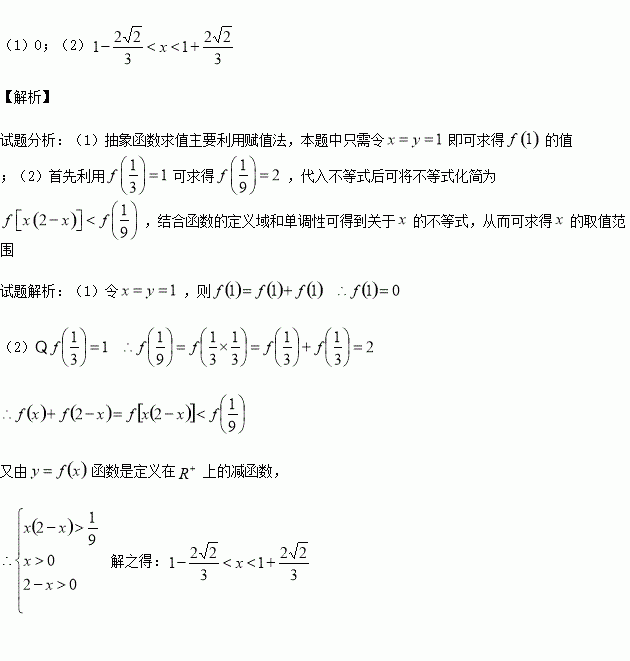
设函数是定义在上的减函数,并且满足,且

(1)求的值;

(2)如果,求的取值范围.

练习册系列答案
相关习题

科目:高中数学 来源:2015-2016学年广东省普宁市高一上学期期中考试数学试卷(解析版) 题型:填空题

已知,则=

查看答案和解析>>

科目:高中数学 来源:2015-2016学年湖南师大附中高二上学期第三次检测数学卷(解析版) 题型:选择题

下列函数中,在定义域内是单调递增函数的是( )

A. B.

C. D.

查看答案和解析>>

科目:高中数学 来源:2015-2016学年云南省蒙自市高二10月月考理科数学试卷(解析版) 题型:选择题

设集合,则=

A. B. C. D.

查看答案和解析>>

科目:高中数学 来源:2015-2016学年四川省雅安市高二11月月考理科数学试卷(解析版) 题型:解答题

已知的顶点边上的中线所在直线为

(Ⅰ)求的方程;

(Ⅱ)求点关于直线的对称点的坐标.

查看答案和解析>>

科目:高中数学 来源:2015-2016学年浙江省金兰教育合作组织高一上学期期中联考数学试卷(解析版) 题型:解答题

已知函数,其中

(1)当,求函数的单调区间;

(2)若不等式上恒成立,求的取值范围.

查看答案和解析>>

科目:高中数学 来源:2015-2016学年江苏省南通市高二上学期期中考试数学试卷(解析版) 题型:解答题

已知y=2x是△ABC中∠C的内角平分线所在直线的方程,若A(﹣4,2),B(3,1).

(1)求点A关于y=2x的对称点P的坐标;

(2)求直线BC的方程;

(3)判断△ABC的形状.

查看答案和解析>>

科目:高中数学 来源:2015-2016学年山东省淄博市高一上学期期中考试数学试卷(解析版) 题型:选择题

若偶函数f(x)在(-∞,-1]上是增函数,则下列关系式中,成立的是( )

A.<f(-1)<f(2)

B.f(-1)<<f(2)

C.f(2)<f(-1)<

D.f(2)<<f(-1)

查看答案和解析>>

科目:高中数学 来源:2015-2016学年内蒙古巴彦淖尔一中高二上期中文科数学卷(解析版) 题型:填空题

已知函数,则的值为

查看答案和解析>>

同步练习册答案