精英家教网 > 高中数学 > 题目详情
如图,在正四棱柱ABCD-A1B1C1D1中,AA1=2,AB=1,点N是BC的中点,点M在CC1上,设二面角A1-DN-M的大小为θ,
(1)当θ=90°时,求AM的长;
(2)当时,求CM的长。
解:以D为原点,DA为x轴正半轴,DC为y轴正半轴,DD1为z轴正半轴,
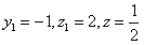
建立空间直角坐标系,则A(1,0,0),A1(1,0,2),N(,1,0),C(0,1,0),
设M(0,1,z),
面MDN的法向量

设面A1DN的法向量为
,∴
,则,即
(1)由题意:

,则

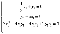
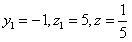
(2)由题意:

,则
练习册系列答案
相关习题

科目:高中数学 来源: 题型:

精英家教网如图,在正四棱柱ABCD-A1B1C1D1中,已知AA1=4,AB=2,E是棱CC1上的一个动点.
(Ⅰ)求证:BE∥平面AA1D1D;
(Ⅱ)当CE=1时,求二面角B-ED-C的大小;
(Ⅲ)当CE等于何值时,A1C⊥平面BDE.

查看答案和解析>>

科目:高中数学 来源: 题型:

精英家教网如图,在正四棱柱ABCD-A′B′C′D′中(底面是正方形的直棱柱),侧棱AA′=
3
AB=
2
,则二面角A′-BD-A的大小为(  )
A、30°B、45°
C、60°D、90°

查看答案和解析>>

科目:高中数学 来源: 题型:

(2012•青岛一模)如图,在正四棱柱ABCD-A1B1C1D1中,AB=a,AA1=
2
a
,E为CC1的中点,AC∩BD=O.
(Ⅰ) 证明:OE∥平面ABC1
(Ⅱ)证明:A1C⊥平面BDE.

查看答案和解析>>

科目:高中数学 来源: 题型:

如图,在正四棱柱ABCD-A1B1C1D1中,AA1=A(x0,y0)AB=2,点E、M分别为A1B、C1C的中点.
(Ⅰ)求证:EM∥平面A1B1C1D1
(Ⅱ)求几何体B-CME的体积.

查看答案和解析>>

科目:高中数学 来源: 题型:

(2009•宜昌模拟)如图,在正四棱柱ABCD-A1B1C1D1 中,AB=BC=1,AA1=2.过顶点D1在空间作直线l,使l与直线AC和BC1所成的角都等于60°,这样的直线l最多可作(  )

查看答案和解析>>

同步练习册答案