精英家教网 > 高中数学 > 题目详情
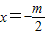
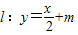
已知椭圆C方程为,直线与椭圆C交于A、B两点,点
(1)求弦AB中点M的轨迹方程;
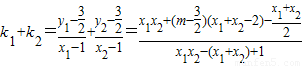
(2)设直线PA、PB斜率分别为k1、k2,求证:k1+k2为定值.
【答案】分析:(1)将代入消去y并整理得4x2+4mx+4m2-12=0,由△>0,知-2<m<2.再由x1+x2=-m,x1x2=m2-3,知弦AB中点M的轨迹方程是在椭圆内部部分.
(2)先设A(x1,y1)B(x2,y2),根据斜率公式即可求出结果.
解答:解:(1)将代入
消去y并整理得4x2+4mx+4m2-12=0,
△=16m2-16(4m2-12)=48(4-m2)>0,
-2<m<2.
x1+x2=-m,x1x2=m2-3,

∴弦AB中点M的轨迹方程是在椭圆内部部分.(6分)
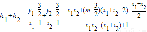
(2)设A(x1,y1)B(x2,y2),A、B两点在直线

=(12分)
点评:本题考查直线 与圆锥曲线的位置关系的综合运用,具有一定的难度,解题时要认真审题,合理地进行等价转化.
练习册系列答案
相关习题

科目:高中数学 来源: 题型:

如图,在平面直坐标系xOy中,已知椭圆C:
x2
a2
+
y2
b2
=1(a>b>0)
,经过点(1,e),其中e为椭圆的离心率.且椭圆C与直线y=x+
3
有且只有一个交点.
(Ⅰ)求椭圆C的方程;
(Ⅱ)设不经过原点的直线l与椭圆C相交与A,B两点,第一象限内的点P(1,m)在椭圆上,直线OP平分线段AB,求:当△PAB的面积取得最大值时直线l的方程.

查看答案和解析>>

科目:高中数学 来源: 题型:

(2012•淮南二模)已知椭圆C:
x2
a2
+
y2
b2
=1,(a>b>0)与双曲4x2-
4
3
y2=1有相同的焦点,且椭C的离心e=
1
2
,又A,B为椭圆的左右顶点,M为椭圆上任一点(异于A,B).
(1)求椭圆的方程;
(2)若直MA交直x=4于点P,过P作直线MB的垂线x轴于点Q,Q的坐标;
(3)求点P在直线MB上射R的轨迹方程.

查看答案和解析>>

科目:高中数学 来源:2012-2013学年福建福州市毕业班质量检查文科数学试卷(解析版) 题型:解答题

已知椭圆C:的离心率为

直线:y=x+2与原点为圆心,以椭圆C的短轴长为直

径的圆相切.

 (Ⅰ)求椭圆C的方程;

(Ⅱ)过点的直线与椭圆交于两点.设直线的斜率,在轴上是否存在点,使得是以GH为底边的等腰三角形. 如果存在,求出实数的取值范围,如果不存在,请说明理由.

 

 

查看答案和解析>>

科目:高中数学 来源:2012年安徽省淮北市高考数学二模试卷(文科)(解析版) 题型:解答题

已知椭圆C:+=1,(a>b>0)与双曲4x2-y2=1有相同的焦点,且椭C的离心e=,又A,B为椭圆的左右顶点,M为椭圆上任一点(异于A,B).
(1)求椭圆的方程;
(2)若直MA交直x=4于点P,过P作直线MB的垂线x轴于点Q,Q的坐标;
(3)求点P在直线MB上射R的轨迹方程.

查看答案和解析>>

科目:高中数学 来源:2012年安徽省淮北市高考数学二模试卷(理科)(解析版) 题型:解答题

已知椭圆C:+=1,(a>b>0)与双曲4x2-y2=1有相同的焦点,且椭C的离心e=,又A,B为椭圆的左右顶点,M为椭圆上任一点(异于A,B).
(1)求椭圆的方程;
(2)若直MA交直x=4于点P,过P作直线MB的垂线x轴于点Q,Q的坐标;
(3)求点P在直线MB上射R的轨迹方程.

查看答案和解析>>

同步练习册答案