精英家教网 > 高中数学 > 题目详情
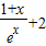
函数在点(0,1)处的切线方程是   
【答案】分析:,知=,故,由此能求出函数在点(0,1)处的切线方程.
解答:解:∵
=

∴函数在点(0,1)处的切线方程是:
y-1=3x,整理得3x-y+1=0.
故答案为:3x-y+1=0.
点评:本题考查利用导数求曲线的切线方程,是基础题.解题时要认真审题,仔细解答.
练习册系列答案
相关习题

科目:高中数学 来源: 题型:

函数y=xex+1在点(0,1)处的切线方程为
x-y+1=0
x-y+1=0

查看答案和解析>>

科目:高中数学 来源: 题型:

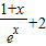
函数f(x)=
xex
+2x+1
在点(0,1)处的切线方程是
3x-y+1=0
3x-y+1=0

查看答案和解析>>

科目:高中数学 来源: 题型:填空题

函数数学公式在点(0,1)处的切线方程是________.

查看答案和解析>>

科目:高中数学 来源:湖南省期末题 题型:填空题

函数在点(0,1)处的切线方程是(    )。

查看答案和解析>>

同步练习册答案