精英家教网 > 高中数学 > 题目详情

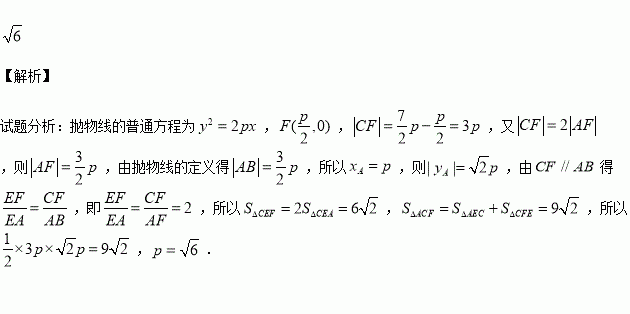
设抛物线,(t为参数,p>0)的焦点为F,准线为l.过抛物线上一点A作l的垂线,垂足为B.设C(p,0),AF与BC相交于点E.若|CF|=2|AF|,且△ACE的面积为,则p的值为_________.

练习册系列答案
相关习题

科目:高中数学 来源:2016年全国普通高等学校招生统一考试理科数学(浙江卷参考版) 题型:解答题

已知,函数F(x)=min{2|x?1|,x2?2ax+4a?2},

其中min{p,q}=

(Ⅰ)求使得等式F(x)=x2?2ax+4a?2成立的x的取值范围;

(Ⅱ)(ⅰ)求F(x)的最小值m(a);

(ⅱ)求F(x)在区间[0,6]上的最大值M(a).

查看答案和解析>>

科目:高中数学 来源:2016年全国普通高等学校招生统一考试数学(江苏卷参考版) 题型:解答题

[选修4—4:坐标系与参数方程]

在平面直角坐标系xOy中,已知直线l的参数方程为 (t为参数),椭圆C的参数方程为为参数).设直线l与椭圆C相交于A,B两点,求线段AB的长.

查看答案和解析>>

科目:高中数学 来源:2016年全国普通高等学校招生统一考试数学(江苏卷参考版) 题型:填空题

如图是一个算法的流程图,则输出的a的值是 .

查看答案和解析>>

科目:高中数学 来源:2016年全国普通高等学校招生统一考试理科数学(天津卷参考版) 题型:解答题

设椭圆)的右焦点为,右顶点为,已知,其中 为原点,为椭圆的离心率.

(Ⅰ)求椭圆的方程;

(Ⅱ)设过点的直线与椭圆交于点不在轴上),垂直于的直线与交于点,与轴交于点,若,且,求直线的斜率的取值范围.

查看答案和解析>>

科目:高中数学 来源:2016年全国普通高等学校招生统一考试理科数学(天津卷参考版) 题型:填空题

已知,i是虚数单位,若,则的值为_______.

查看答案和解析>>

科目:高中数学 来源:2016年全国普通高等学校招生统一考试理科数学(天津卷参考版) 题型:选择题

设变量x,y满足约束条件则目标函数的最小值为( )

(A) (B)6 (C)10 (D)17

查看答案和解析>>

科目:高中数学 来源:2016年全国普通高等学校招生统一考试文科数学(天津卷参考版) 题型:选择题

,则“”是“”的( )

(A)充要条件 (B)充分而不必要条件

(C)必要而不充分条件 (D)既不充分也不必要条件

查看答案和解析>>

科目:高中数学 来源:2016年全国普通高等学校招生统一考试理科数学(全国3卷参考版) 题型:选择题

中,,BC边上的高等于,则

(A) (B) (C) (D)

查看答案和解析>>

同步练习册答案