精英家教网 > 高中数学 > 题目详情
已知n为正偶数,用数学归纳法证明时,若已假设n=k(k≥2,k为偶数)时命题为真,则还需要用归纳假设再证n=    时等式成立.
【答案】分析:首先分析题目因为n为正偶数,用数学归纳法证明的时候,若已假设n=k(k≥2,k为偶数)时命题为真时,因为n取偶数,则n=k+1代入无意义,故还需要证明n=k+2成立.
解答:解:用数学归纳法证明时,
若已假设n=k(k≥2,k为偶数)时命题为真,因为n只能取偶数,所以还需要证明n=k+2成立.
故答案为k+2.
点评:此题主要考查数学归纳法的概念问题,对学生的理解概念并灵活应用的能力有一定的要求,属于基础题目.
练习册系列答案
相关习题

科目:高中数学 来源: 题型:

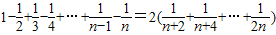
已知n为正偶数,用数学归纳法证明1-
1
2
+
1
3
-
1
4
+…+
1
n-1
-
1
n
=2(
1
n+2
+
1
n+4
+…+
1
2n
)
时,若已假设n=k(k≥2,k为偶数)时命题为真,则还需要用归纳假设再证n=
 
时等式成立.

查看答案和解析>>

科目:高中数学 来源: 题型:

已知n为正偶数,用数学归纳法证明1-
1
2
+
1
3
-
1
4
+…+
1
n-1
=2(
1
n+2
+
1
n+4
+…+
1
2n
)时,若已假设n=k(k≥2为偶数)时命题为真,则还需要用归纳假设再证(  )
A、n=k+1时等式成立
B、n=k+2时等式成立
C、n=2k+2时等式成立
D、n=2(k+2)时等式成立

查看答案和解析>>

科目:高中数学 来源: 题型:

已知n为正偶数,用数学归纳法证明1-
1
2
+
1
3
-
1
4
+…+
1
n+1
=2(
1
n+2
+
1
n+4
+…+
1
2n
)
时,若已假设n=k(k≥2)为偶数)时命题为真,则还需要用归纳假设再证n=(  )时等式成立.

查看答案和解析>>

科目:高中数学 来源:2012-2013学年安徽省高三第一次质量检测理科数学试卷(解析版) 题型:选择题

已知n为正偶数,用数学归纳法证明 时,若已假设为偶数)时命题为真,则还需要用归纳假设再证(   )时等式成立           (    )

A.         B.        C.       D.

 

查看答案和解析>>

科目:高中数学 来源:2010年山东省高二下学期期末考试理科数学卷 题型:选择题

已知n为正偶数,用数学归纳法证明

   时,

若已假设为偶数)时命题为真,则还需要用归纳假设再证

    A.时等式成立           B.时等式成立

    C.时等式成立         D.时等式成立

 

查看答案和解析>>

同步练习册答案