精英家教网 > 高中数学 > 题目详情

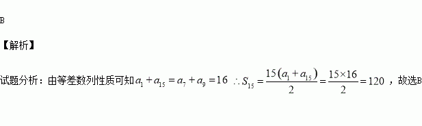
已知等差数列中,,其前项和为,则( )

A、 B、 C、 D、不确定

练习册系列答案
相关习题

科目:高中数学 来源:2015-2016学年吉林实验中学高二上学期期中理科数学试卷(解析版) 题型:选择题

椭圆上的点到直线的最大距离是( )

(A) (B) (C) (D)

查看答案和解析>>

科目:高中数学 来源:2016届山东省高三第二次诊断性考试理科数学试卷(解析版) 题型:选择题

已知命题中,“”是“”的充分不必要条件;命题”是“”的充分不必要条件,则下列选项中正确的是

A.假 B.

C.“”为假 D.“”为真

查看答案和解析>>

科目:高中数学 来源:2015-2016学年四川绵阳南山中学高二上期中文科数学试卷(解析版) 题型:选择题

双曲线的两焦点为在双曲线上,且满足, 则的面积为

A.1 B. C.2 D.4

查看答案和解析>>

科目:高中数学 来源:2015-2016学年四川绵阳南山中学高二上期中理科数学试卷(解析版) 题型:填空题

已知直线与圆心为的圆相交于两点,且为等边三角形,则实数 .

查看答案和解析>>

科目:高中数学 来源:2015-2016学年湖北省高二上期中文科数学试卷(解析版) 题型:填空题

在平面直角坐标系xOy中,点M到点F(1,0)的距离比它到y轴的距离多1.记点M的轨迹为C,则曲线C与交点的坐标是 ;若点为曲线C上动点, 又点,那么的最小值为

查看答案和解析>>

科目:高中数学 来源:2015-2016学年湖北省高二上期中文科数学试卷(解析版) 题型:选择题

已知函数其中为常数,那么“”是“为奇函数”的( )

A.充分不必要条件 B.必要不充分条件

C.充要条件 D.既不充分也不必要条件

查看答案和解析>>

科目:高中数学 来源:2015-2016学年湖北省枣阳市高二10月月考理科数学试卷(解析版) 题型:填空题

两个数90,252的最大公约数是

查看答案和解析>>

科目:高中数学 来源:2016届浙江省高三10月月考文科数学试卷(解析版) 题型:填空题

设二次函数f(x)= ax2﹣4x+c(x∈R)的值域为[0,+∞),则的最小值为 ;若ax2﹣4x+c>0的解集为 (-1,2),则=

查看答案和解析>>

同步练习册答案