精英家教网 > 高中数学 > 题目详情

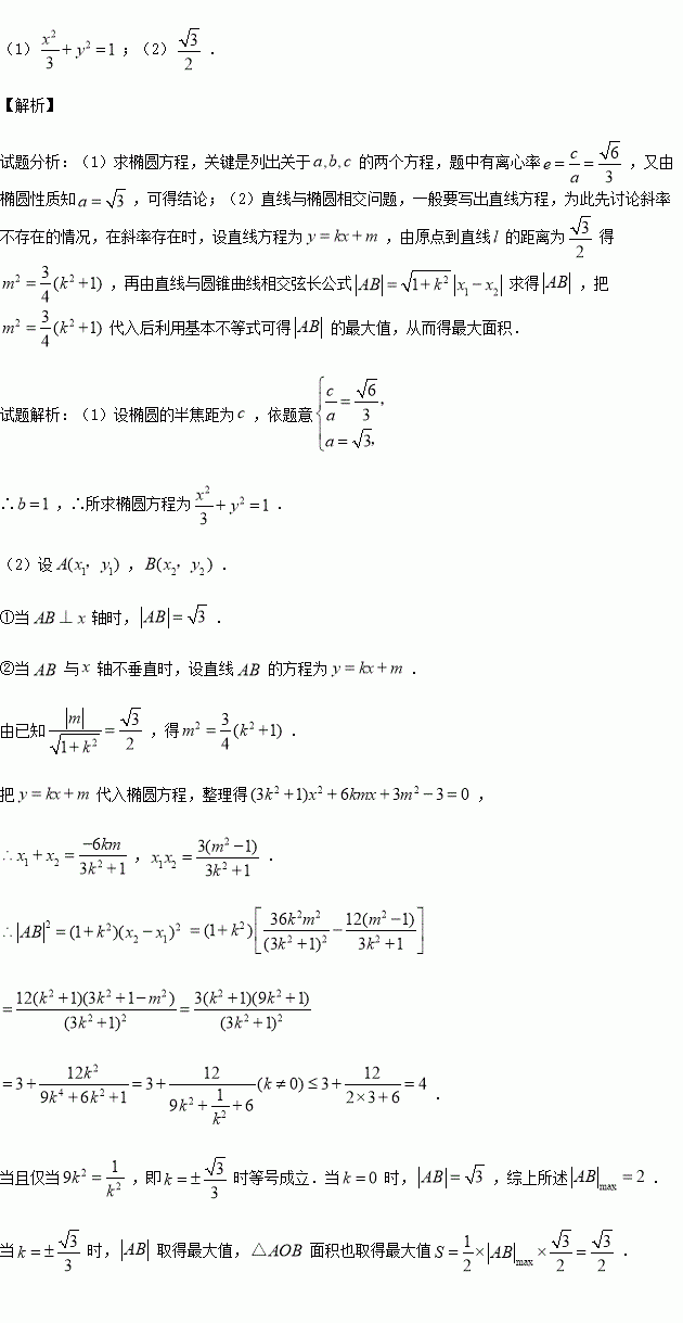
已知椭圆C:=1()的离心率为,短轴一个端点到右焦点的距离为

(1)求椭圆的方程;

(2)设直线与椭圆交于两点,坐标原点到直线的距离为,求△面积的最大值.

练习册系列答案
相关习题

科目:高中数学 来源:2015-2016学年吉林省高二上11月月考文科数学试卷(解析版) 题型:选择题

(2015春•荆州期末)如果实数x,y满足条件,那么2x﹣y的最大值为( )

A.﹣1 B.﹣2 C.2 D.1

查看答案和解析>>

科目:高中数学 来源:2016届四川省成都市高三11月段测三文科数学试卷(解析版) 题型:填空题

己知向量满足||=||=2且,则向量的夹角为

查看答案和解析>>

科目:高中数学 来源:2015-2016学年西藏日喀则一中高二10月月考文数学试卷(解析版) 题型:选择题

设函数,曲线在点处的切线方程为,则曲线在点处切线的斜率为( )

A. B. C. D.

查看答案和解析>>

科目:高中数学 来源:2015-2016学年贵州遵义航天高中高二上学期期中数学试卷(解析版) 题型:选择题

直线L1:ax+3y+1=0, L2:2x+(a+1)y+1=0, 若L1∥L2 ,则a=( )

A.-3 B.2 C.-3或2 D.3或-2

查看答案和解析>>

科目:高中数学 来源:2015-2016学年四川省实验学校高二上学期期中理科数学试卷(解析版) 题型:选择题

在棱长为2的正方体ABCD﹣A1B1C1D1中,O是底面ABCD的中心,E、F分别是CC1、AD的中点,那么异面直线OE和FD1所成的角的余弦值等于( )

A. B. C. D.

查看答案和解析>>

科目:高中数学 来源:2015-2016学年辽宁省葫芦岛市高一上学期期中考试数学试卷(解析版) 题型:选择题

表示三个数中的最小值,设(x0),则的最大值为( )

A.7 B.5 C.6 D.4

查看答案和解析>>

科目:高中数学 来源:2015-2016学年湖南省高二上学期期中文科数学试卷(解析版) 题型:选择题

设数列{an}和{bn}都是等差数列,且a1=25,b1=75,a2+b2=100,那么由an+bn所组成的数列的第37项的值为( )

A.0 B.37 C.100 D.﹣37

查看答案和解析>>

科目:高中数学 来源:2015-2016学年福建省高一上学期期中考试数学试卷(解析版) 题型:选择题

下列式子中成立的是( )

A. B.

C. D.

查看答案和解析>>

同步练习册答案