精英家教网 > 高中数学 > 题目详情

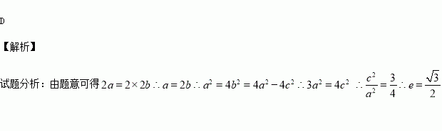
已知椭圆的长轴长是短轴长的倍,则椭圆的离心率等于

(A) (B) (C) (D)

练习册系列答案
相关习题

科目:高中数学 来源:2015-2016学年山东省高一上学期期中模块考试数学试卷(解析版) 题型:选择题

已知上的奇函数,,则( )

A.

B.

C.

D.无法比较

查看答案和解析>>

科目:高中数学 来源:2015-2016学年福建省高二上学期期中考试文科数学试卷(解析版) 题型:选择题

已知等差数列与等比数列,满足的前5项和( )

A.5 B.10 C.20 D.40

查看答案和解析>>

科目:高中数学 来源:2015-2016学年重庆市高二上第一次月考理科数学试卷(解析版) 题型:填空题

设变量满足约束条件,则的最大值为

查看答案和解析>>

科目:高中数学 来源:2015-2016学年山东省临沂市高二上期中模拟理数学试卷(解析版) 题型:选择题

若等比数列{an}的前n项和Sn,且S10=18,S20=24,则S40等于 ( )

A. B. C. D.

查看答案和解析>>

科目:高中数学 来源:2015-2016学年辽宁省大连市高二上期中理科数学试卷(解析版) 题型:选择题

焦点为,且与双曲线有相同的渐近线的双曲线方程是

(A) (B)

(C) (D)

查看答案和解析>>

科目:高中数学 来源:2015-2016学年江西省等三校高二上第一次联考数学试卷(解析版) 题型:选择题

直线3x+y-1=0的倾斜角为( )

A.60° B.30° C.120° D.150°

查看答案和解析>>

科目:高中数学 来源:2015-2016学年湖北省宜昌市高二上期中文科数学试卷(解析版) 题型:解答题

(本小题满分12分)设O为坐标原点,曲线上有两点P,Q关于直线对称.

(1)求实数m的值;

(2)是否存在直线PQ,满足,若存在求出直线方程;若不存在,说明理由.

查看答案和解析>>

科目:高中数学 来源:2016届云南省玉溪市高三上学期期中文科数学试卷(解析版) 题型:选择题

函数),,且,若点到直线的最大距离为时,则的值为( )

A. B. C. D.

查看答案和解析>>

同步练习册答案