精英家教网 > 高中数学 > 题目详情

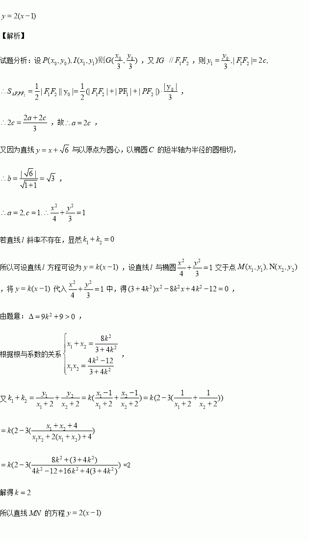
已知椭圆直线与以原点为圆心,以椭圆的短半轴为半径的圆相切,为其左右焦点,为椭圆上的任意一点,的重心为,内心为,且.已知为椭圆上的左顶点,直线过右焦点与椭圆交于两点,若的斜率满足,直线的方程________.

练习册系列答案
相关习题

科目:高中数学 来源:2015-2016学年福建省师大附高二上期中理科数学试卷(解析版) 题型:填空题

已知数列满足,若,且对于任意正整数均成立,则数列的前2015项和的值为 .(用具体的数字表示)

查看答案和解析>>

科目:高中数学 来源:2015-2016学年河南省英文学校高一上学期期中考试数学试卷(解析版) 题型:选择题

三个数的大小顺序是( )

A.

B.

C.

D.

查看答案和解析>>

科目:高中数学 来源:2015-2016学年甘肃省定西市高一上学期第一次月考数学试卷(解析版) 题型:选择题

集合{0,2, 3}的真子集共有( )

A、5个 B、6个 C、7个 D、8个

查看答案和解析>>

科目:高中数学 来源:2014-2015学年上海市高一下学期期末考试数学试卷(解析版) 题型:选择题

中,若,则的形状是( )

A.锐角三角形 B.直角三角形

C.钝角三角形 D.不能确定

查看答案和解析>>

科目:高中数学 来源:2015-2016学年浙江省平湖市高一10月月考数学试卷(解析版) 题型:填空题

,若,则的取值范围为

查看答案和解析>>

科目:高中数学 来源:2015-2016学年四川省高一上学期第一学月考数学试卷(解析版) 题型:选择题

若函数f(x)满足f(3x+2)=9x+8,则f(x)的解析式是( )

A.f(x)=9x+8

B.f(x)=3x+2

C.f(x)=-3x-4

D.f(x)=3x+2或f(x)=-3x-4

查看答案和解析>>

科目:高中数学 来源:2015-2016学年四川成都市六校高二上学期期中联考理科数学试卷(解析版) 题型:选择题

已知圆,从点发出的光线,经轴反射后恰好经过圆心,则入射光线的斜率为

A. B. C. D.

查看答案和解析>>

科目:高中数学 来源:2016届湖南省常德市高三上第五次月考文科数学试卷(解析版) 题型:选择题

为奇函数,则的解集为( )

A. B.

C. D.

查看答案和解析>>

同步练习册答案