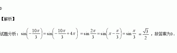
精英家教网 > 高中数学 > 题目详情

的值等于( )

A.- B. C.- D.

练习册系列答案
相关习题

科目:高中数学 来源:2015-2016学年湖北孝感高中高二上学期期中理科数学试卷(解析版) 题型:解答题

从参加环保知识竞赛的学生中抽出60名,将其成绩整理后画出的频率分布直方图如下.观察图形,回答下列问题:

(1)49.5——69.5这一组的频率和频数分别为多少?

(2)估计这次环保知识竞赛成绩的中位数及平均成绩.(精确到小数点后一位)

查看答案和解析>>

科目:高中数学 来源:2016届贵州省高三上学期第三次月考理科数学试卷(解析版) 题型:选择题

若函数满足,则函数的单调递增区间是( )

A.

B.

C.

D.

查看答案和解析>>

科目:高中数学 来源:2015-2016学年浙江慈溪中学高一1-3班上期中数学卷(解析版) 题型:选择题

已知,则的值为 ( )

A. B. C. D.

查看答案和解析>>

科目:高中数学 来源:2015-2016学年吉林长春十一中高一上学期期中文科数学卷(解析版) 题型:解答题

已知函数,其中是偶函数.

(1)求实数的值;

(2)求函数的定义域;

(3)若函数的图象有且只有一个公共点,求实数的取值范围.

查看答案和解析>>

科目:高中数学 来源:2015-2016学年湖南衡阳八中高二上学期期中文科数学试卷(解析版) 题型:选择题

抛物线的焦点坐标是( )

A、 B、 C、 D、

查看答案和解析>>

科目:高中数学 来源:2015-2016学年黑龙江哈尔滨师大附中高二上期中理数学卷(解析版) 题型:解答题

如图,四棱锥,底面ABCD为矩形,底面,点是棱的中点.

(Ⅰ)证明:平面

(Ⅱ)若,求二面角的平面角的余弦值.

查看答案和解析>>

科目:高中数学 来源:2015-2016学年广东汕头市高二10月月考数学卷(解析版) 题型:解答题

如图,三棱锥的三条侧棱两两垂直,即:,且平面并交平面于点,请问点的什么心(内心、外心、垂心、重心、中心等)? 并证明你的结论.

查看答案和解析>>

科目:高中数学 来源:2016届江西省高三上学期第三次考试文科数学试卷(解析版) 题型:解答题

在△ABC中,角A,B,C所对的边分别为,函数的图象关于点对称.

(Ⅰ)当时,求的值域;

(Ⅱ)若,求△ABC的面积.

查看答案和解析>>

同步练习册答案