精英家教网 > 高中数学 > 题目详情

选修4—4:坐标系与参数方程

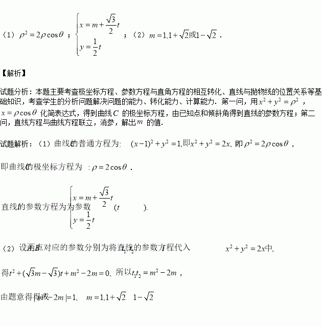
平面直角坐标系xOy中,曲线C:.直线l经过点P(m,0),且倾斜角为.O为极点,以x轴正半轴为极轴,建立极坐标系.

(Ⅰ)写出曲线C的极坐标方程与直线l的参数方程;

(Ⅱ)若直线l与曲线C相交于A,B两点,且|PA|·|PB|=1,求实数m的值.

练习册系列答案
相关习题

科目:高中数学 来源:2015-2016学年湖北省高二3月月考文科数学试卷(解析版) 题型:选择题

已知复数z满足,那么z的共轭复数在复平面上对应的点位于 ( )

A.第一象限 B.第二象限 C.第三象限 D.第四象限

查看答案和解析>>

科目:高中数学 来源:2015-2016学年贵州省高一下期中数学试卷(解析版) 题型:选择题

设向量满足

A. 1 B. 2 C. 3 D. 5

查看答案和解析>>

科目:高中数学 来源:2016届河南省南阳、周口、驻马店等六市高三第一次联考文科数学试卷(解析版) 题型:选择题

三棱锥中,平面,则该三棱锥的外接球表面积为( )

A. B. C. D.

查看答案和解析>>

科目:高中数学 来源:2016届河南省南阳、周口、驻马店等六市高三第一次联考文科数学试卷(解析版) 题型:选择题

向量均为非零向量,,则的夹角为( )

A. B. C. D.

查看答案和解析>>

科目:高中数学 来源:2016届河南省郑州市高三第二次模拟考试文科数学试卷(解析版) 题型:解答题

为了解人们对于国家新颁布的“生育二胎放开”政策的热度,现在某市进行调查,随机抽调了50人,他们年龄的频数分布及支持“生育二胎”人数如下表:

(Ⅰ)由以上统计数据填下面2乘2列联表,并问是否有99%的把握认为以45岁为分界点对“生育二胎放开”政策的支持度有差异;

(Ⅱ)若对年龄在[5,15)的被调查人中各随机选取两人进行调查,恰好这两人都支持“生育二胎放开”的概率是多少?

参考数据:

查看答案和解析>>

科目:高中数学 来源:2016届河南省郑州市高三第二次模拟考试文科数学试卷(解析版) 题型:选择题

设数列{}满足:a1=1,a2=3,且2n=(n-1)+(n+1),则a20的值是( )

查看答案和解析>>

科目:高中数学 来源:2016届河南省郑州市高三第二次模拟考试理科数学试卷(解析版) 题型:解答题

为了解人们对于国家新颁布的“生育二胎放开”政策的热度,现在某市进行调查,随机调查了人,他们年龄大点频数分布及支持“生育二胎”人数如下表:

年龄

[5,15)

[15,25)

[25,35)

[35,45)

[45,55)

[55,65)

频数

5

10

15

10

5

5

支持“生育二胎”

4

5

12

8

2

1

(1)由以上统计数据填下面2乘2列联表,并问是否有的把握认为以岁为分界点对“生育二胎放开”政策的支持度有差异:

年龄不低于45岁的人数

年龄低于45岁的人数

合计

支持

a=

c=

不支持

b=

d=

合计

(2)若对年龄在的的被调查人中各随机选取两人进行调查,记选中的人不支持“生育二胎”人数为,求随机变量的分布列及数学期望.

参考数据:

0.050

0.010

0.001

k

3.841

6.635

10.828

查看答案和解析>>

科目:高中数学 来源:2016届河南省南阳、周口、驻马店等六市高三第一次联考理科数学试卷(解析版) 题型:选择题

已知集合,且有4个子集,则实数的取值范围是( )

A. B. C. D.

查看答案和解析>>

同步练习册答案