精英家教网 > 高中数学 > 题目详情

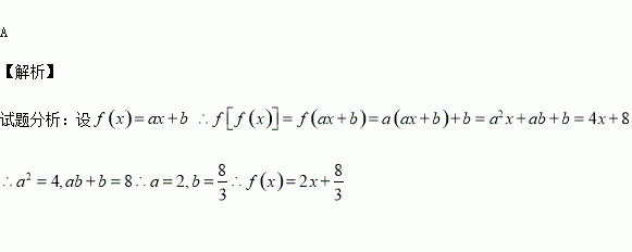
已知是一次函数,且一次项系数为正数,若,则

A. B.

C. D.

练习册系列答案
相关习题

科目:高中数学 来源:2015-2016学年内蒙古赤峰平煤高中高二上学期月考数学试卷(解析版) 题型:解答题

农科院的专家为了了解新培育的甲、乙两种麦苗的长势情况,从甲、乙两种麦苗的试验田中各抽取6株麦苗测量麦苗的株高,数据如下:(单位:cm)

甲:9,10,11,12,10,20

乙:8,14,13,10,12,21

(1)在给出的方框内绘出所抽取的甲、乙两种麦苗株高的茎叶图;

(2)分别计算所抽取的甲、乙两种麦苗株高的平均数与方差,并由此判断甲、乙两种麦苗的长势情况.

查看答案和解析>>

科目:高中数学 来源:2015-2016学年江苏省高一上学期第一次月考数学卷(解析版) 题型:填空题

用列举法表示集合=

查看答案和解析>>

科目:高中数学 来源:2015-2016学年吉林省长春市高一上学期期初考试理科数学试卷(解析版) 题型:解答题

(10分)已知函数

,求实数的值.

查看答案和解析>>

科目:高中数学 来源:2015-2016学年吉林省长春市高一上学期期初考试理科数学试卷(解析版) 题型:选择题

下列函数中,既是偶函数又在上单调递增的是 ( )

A.

B.

C.

D.

查看答案和解析>>

科目:高中数学 来源:2015-2016学年吉林省扶余市高一上学期第一次月考数学试卷(解析版) 题型:解答题

利用单调性定义判断函数在 [1,4]上的单调性并求其最值.

查看答案和解析>>

科目:高中数学 来源:2015-2016学年吉林省扶余市高一上学期第一次月考数学试卷(解析版) 题型:选择题

函数f(x)=的图象是( )

查看答案和解析>>

科目:高中数学 来源:2015-2016学年广西桂林中学高二上期中考试文科数学试卷(解析版) 题型:选择题

若不等式对任意正实数x,y恒成立,则实数的取值范围是( )

A. B. C. D.

查看答案和解析>>

科目:高中数学 来源:2015-2016学年湖北省高二上学期期中理科数学试卷(解析版) 题型:选择题

已知圆上到直线的距离等于1的点至少有2个,则的取值范围为( )

A.

B.

C.

D.

查看答案和解析>>

同步练习册答案