精英家教网 > 高中数学 > 题目详情

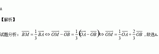
已知非零向量, 不共线,且,则向量

A. B.

C. D.

练习册系列答案
相关习题

科目:高中数学 来源:2015-2016学年江苏连云港东海县房山高级中学高二下期中文数学试卷(解析版) 题型:填空题

若“”是“”的充分不必要条件,则实数a的取值范围是

查看答案和解析>>

科目:高中数学 来源:2015-2016学年广东省高一下学期期中数学试卷(解析版) 题型:填空题

= .

查看答案和解析>>

科目:高中数学 来源:2015-2016学年北京东城区高一下学期期末数学试卷(解析版) 题型:解答题

△ABC中,内角A,B,C的对边分别为a,b,c,且.

(I)求角B的大小;

(II)若,求a,c的长.

查看答案和解析>>

科目:高中数学 来源:2015-2016学年北京东城区高一下学期期末数学试卷(解析版) 题型:填空题

如图所示,在边长为1的正方形中,随机撒豆子,其中有1000粒豆子落在正方形中,180粒落到阴影部分,据此估计阴影部分的面积为_________.

查看答案和解析>>

科目:高中数学 来源:2016-2017学年新疆库尔勒四中高二上学期分班考试数学(文)试卷(解析版) 题型:选择题

设等差数列的前n项和为 ,且( )

A. 63 B.45 C.36 D.27

查看答案和解析>>

科目:高中数学 来源:2016-2017学年新疆库尔勒四中高二上学期分班考试数学(文)试卷(解析版) 题型:选择题

( )

A. B. C. D.

查看答案和解析>>

科目:高中数学 来源:2017届江西省高三第一次联考数学(文)试卷(解析版) 题型:选择题

,则( )

A. B. C. D.

查看答案和解析>>

科目:高中数学 来源:2015-2016学年辽宁省分校高一下学期期末数学试卷(解析版) 题型:填空题

,向量 ,则

查看答案和解析>>

同步练习册答案