精英家教网 > 高中数学 > 题目详情
如图,四棱锥的底面是矩形,,且侧面PAB是正三角形,平面平面ABCD,E是棱PA的中点。
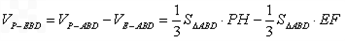
(1)求证:平面EBD;
(2)求三棱锥的体积。
解:(1)证明:在矩形ABCD 中,连结AC ,设AC 、BD 交点为O ,则O是AC中点
又E是PA中点,所以EO是△PAC 的中位线,
所以PC//EO 
又EO平面EBD ,PC平面EBD
所以PC// 平面EBD
(2)  取AB中点H,则由PA=PB ,得PH ⊥AB ,
又平面PAB ⊥平面ABCD ,且平面PAB ∩平面ABCD=AB ,
所以PH ⊥平面ABCD 
取AH 中点F ,由E 是PA 中点,得EF//PH ,
所以EF⊥平面ABCD

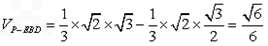
由题意可求得:=,PH=,EF=,     

练习册系列答案
相关习题

科目:高中数学 来源: 题型:

(09年朝阳区二模文)(13分)

  如图,四棱锥的底面是矩形,底面边的中点,与平面所成的角为,且.

(Ⅰ) 求证:平面

(Ⅱ)求二面角的大小.

查看答案和解析>>

科目:高中数学 来源: 题型:

(09年山东实验中学诊断三理)(13分)如图:四棱锥的底面是提醒,腰平分且与垂直,侧面都垂直于底面,平面与底面成60°角

(1)求证:

(2)求二面角的大小

查看答案和解析>>

科目:高中数学 来源:2011-2012学年福建省高三第八次月考文科数学试卷 题型:解答题

如图,四棱锥的底面是平行四边形,平面,,,

上的点,且.     

(Ⅰ)求证:

(Ⅱ)求的值,使平面

(Ⅲ)当时,求三棱锥与四棱锥的体积之比.

 

查看答案和解析>>

科目:高中数学 来源:2011-2012学年浙江省高三上学期摸底理科数学 题型:解答题

((本小题满分14分)如图,四棱锥的底面是正方形,侧棱底面分别是棱的中点.

   (1)求证:;   (2) 求直线与平面所成的角的正切值

 

 

 

 

 

查看答案和解析>>

科目:高中数学 来源:2010-2011年四川省成都市高二3月月考数学试卷 题型:填空题

(本小题满分12 分)

如图,四棱锥的底面是边长为的菱形,

平面的中点,O为底面对角线的交点;

(1)求证:平面平面; 

(2)求二面角的正切值。

 

查看答案和解析>>

同步练习册答案