精英家教网 > 高中数学 > 题目详情
求数列前n项的和.
【答案】分析:先求出数列的通项,通项是有一个等差数列与一个等比数列的和构成的新数列,利用分组求和的方法求出前n项和.
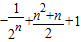
解答:解:数列的通项为
所以数列的前n项和:

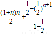
=
=
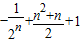
所以数列的前n项和为
点评:求数列的前n项和,一般先求出通项,根据通项的特点选择合适的求和方法.
练习册系列答案
相关习题

科目:高中数学 来源: 题型:

(本小题满分12分)

已知向量,把其中所满足的关系式记为若函数为奇函数,且当有最小值  (Ⅰ)求函数的表达式;(Ⅱ)设满足如下关系:求数列的通项公式,并求数列n项的和.

查看答案和解析>>

科目:高中数学 来源: 题型:

公差不为0的等差数列中,成等比数列.

(I)求数列的通项公式和它的前20项和

(II) 求数列前n项的和.

查看答案和解析>>

科目:高中数学 来源: 题型:

(本小题满分12分)

已知向量,把其中所满足的关系式记为若函数为奇函数,且当有最小值  (Ⅰ)求函数的表达式;(Ⅱ)设满足如下关系:求数列的通项公式,并求数列n项的和.

查看答案和解析>>

科目:高中数学 来源:2014届河南灵宝第三高级中学高二上学期第二次质量检测文数(解析版) 题型:解答题

(本小题满分10分)

求数列前n项的和。

 

查看答案和解析>>

科目:高中数学 来源:山西省山大附中2009-2010年度高三年级12月数学试卷(解析版) 题型:解答题

公差不为0的等差数列中,成等比数列.

(I)求数列的通项公式和它的前20项和

(II) 求数列前n项的和.

 

查看答案和解析>>

同步练习册答案