精英家教网 > 高中数学 > 题目详情
某初级中学共有学生2000名,各年级男、女生人数如下表:

已知在全校学生中随机抽取1名,抽到八年级女生的概率是0.19。
(1)求x的值;
(2)现用分层抽样的方法在全校抽取48名学生,问应在九年级抽取多少名?
(3)已知y≥245,z≥245,求九年级中女生比男生多的概率。
解:(1)因为,所以x=380;
(2)九年级人数为y+z=2000-(373+377+380+370)=500,应在九年级抽取=12(人);
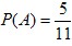
(3)设九年级女生比男生多的事件为A,九年级女生、男生数记为(y,z),
由(2)知y+z=500,且y、z为正整数,
基本事件有(245,255),(246,254),(247,253),…,(255,245),共11个,
事件A包含的基本事件有(251,249),( 252,248),( 253,247),(254,246),(255,245),共5个,
所以
练习册系列答案
相关习题

科目:高中数学 来源:云南省芒市中学2011年春季学期期末考试高一年级数学 题型:解答题

(12分)某初级中学共有学生2 000名,各年级男、女生人数如下表:

(1)已知在全校学生中随机抽取1名,抽到初二年级女生的概率是0.19.求x的值;
(2)现用分层抽样的方法在全校抽取48名学生,问应在初三年级抽取多少名?
(3)已知y≥245,z≥245,求初三年级中女生比男生多的概率.

查看答案和解析>>

科目:高中数学 来源:云南省芒市2011年春季学期期末考试高一年级数学 题型:解答题

(12分)某初级中学共有学生2 000名,各年级男、女生人数如下表:

(1)已知在全校学生中随机抽取1名,抽到初二年级女生的概率是0.19.求x的值;

(2)现用分层抽样的方法在全校抽取48名学生,问应在初三年级抽取多少名?

(3)已知y≥245,z≥245,求初三年级中女生比男生多的概率.

 

查看答案和解析>>

科目:高中数学 来源:0103 期中题 题型:解答题

某初级中学共有学生2 000名,各年级男、女生人数如下表:
 
初一年级
初二年级
初三年级
女生
373
x
y
男生
377
370
z
已知在全校学生中随机抽取1名,抽到初二年级女生的概率是0.19。
(1)求x的值;
(2)现用分层抽样的方法在全校抽取48名学生,问应在初三年级抽取多少名?
(3)已知y≥245,z≥245,求初三年级中女生比男生多的概率。

查看答案和解析>>

科目:高中数学 来源: 题型:

某初级中学共有学生2 000名,各年级男、女生人数如下表:

 

初一年级

初二年级

初三年级

女生

373

x

y

男生

377

370

z

已知在全校学生中随机抽取1名,抽到初二年级女生的概率是0.19.

(1)求x的值;

(2)现用分层抽样的方法在全校抽取48名学生,问应在初三年级抽取多少名?

(3)已知y≥245,z≥245,求初三年级中女生比男生多的概率.

查看答案和解析>>

科目:高中数学 来源: 题型:

(12分)某初级中学共有学生2 000名,各年级男、女生人数如下表:

已知在全校学生中随机抽取1名,抽到初二年级女生的概率是0.19.

(1)求x的值.

(2)现用分层抽样的方法在全校抽取48名学生,问应在初三年级抽取多少名?

(3)已知y≥245,z≥245,求初三年级中女生比男生多的概率.

查看答案和解析>>

同步练习册答案