精英家教网 > 高中数学 > 题目详情
已知函数(a,b,c为常数,a≠0)。
(1)若c=0时,数列{an}满足条件:点(n,an)在函数的图象上,求{an}的前n项和Sn;(2)在(1)的条件下,若a3=7,S4=24,p,q∈N+(p≠q),证明:
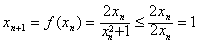
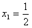
(3)若c=1时f(x)是奇函数,f(1)=1,数列{xn}满足x1=,xn+1=f(xn),求证:
解:(1)依条件有f(x)=ax+b
因为点(n,an)在函数f(x)=ax+b的图象上,
所以an=f(n)=an+b
因为an+1-an=a(n+1)+b-(an+b)=a,
所以{an}是首项为a1=a+b,公差为d=a的等差数列
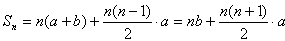
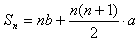
所以
即数列{an}的前n项和
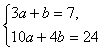
(2)依条件有


解得
所以an=2n+1
所以Sn=n2+2n
因为

又p≠q,
所以-2(p-q)2<0,
所以

(3)依条件f(x)=
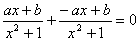
因为f(x)为奇函数,
所以f(-x)+f(x)=0

解得b=0
所以
又f(1)=1,所以a=2

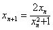
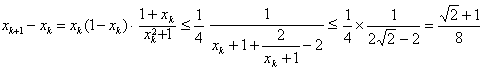
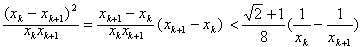
因为
所以
因为
所以有(n∈N*)


则xn=1
从而x1=1,这与矛盾
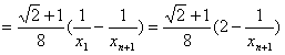
所以
所以(等号不同时成立)
所以
所以


因为
所以
所以
所以
练习册系列答案
相关习题

科目:高中数学 来源: 题型:

已知函数 =

(A)0                            (B)1                      (C)2                      (D)3

查看答案和解析>>

科目:高中数学 来源:2014届山东省高三10月份阶段检测文科数学试卷(解析版) 题型:选择题

已知函数(     )

A.-                          B.                          C.                        D.

 

查看答案和解析>>

科目:高中数学 来源:2011年四川省内江六中高考数学模拟试卷(文科)(解析版) 题型:解答题

已知函数(a,b,c∈N),且f(2)=2,f(3)<3,
且f(x)的图象按向量平移后得到的图象关于原点对称.
(1)求a、b、c的值;
(2)设0<|x|<1,0<|t|≤1,求证不等式|t+x|-|t-x|<|f(tx+1)|;
(3)已知x>0,n∈N*,求证不等式[f(x+1)]n-f(xn+1)≥2n-2.

查看答案和解析>>

科目:高中数学 来源:2011-2012学年浙江省宁波市鄞州区高三5月高考适应性文科数学试卷(解析版) 题型:选择题

已知函数    (     )

A.                  B.             C.            D.

 

查看答案和解析>>

科目:高中数学 来源:2010年高考试题(浙江卷)解析版(文) 题型:选择题

 [番茄花园1]  已知函数 =

(A)0                (B)1                (C)2                (D)3

 


 [番茄花园1]1.

查看答案和解析>>

同步练习册答案