精英家教网 > 高中数学 > 题目详情

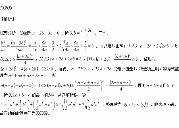
已知为正实数,给出以下命题:①若,则的最小值是3;②若,则的最小值是4;③若,则的最小值是;④若,则的最大值是.其中正确结论的序号是.

练习册系列答案
相关习题

科目:高中数学 来源:2015-2016学年河北定州中学高二下学期期末数学试卷(解析版) 题型:选择题

若不等式组,表示的平面区域是一个三角形区域,则的取值范围是( )

A. B. C. D.

查看答案和解析>>

科目:高中数学 来源:2015-2016学年浙江宁波市九校高一下学期期末数学试卷(解析版) 题型:选择题

,则( )

A. B. C. D.

查看答案和解析>>

科目:高中数学 来源:2015-2016学年浙江杭州高级中学高一上分班模拟数学试卷(解析版) 题型:选择题

如图是自行车骑车训练场地的一部分,半圆的直径,在半圆弧上有一运动员点沿半圆周匀速运动到(最高点),此时由于自行车故障原地停留了一段时间,修理好继续以相同的速度运动到点停止,设运动时间为,点到直线的距离为,则下列图象能大致刻画之间的关系是( )

A. B. C. D.

查看答案和解析>>

科目:高中数学 来源:2015-2016学年四川成都外国语学校高一下期末文数学试卷(解析版) 题型:解答题

已知二次函数

(1)若的解集为,解关于的不等式.

(2)若对任意,不等式恒成立,求的最大值.

查看答案和解析>>

科目:高中数学 来源:2015-2016学年四川成都外国语学校高一下期末文数学试卷(解析版) 题型:选择题

给定正数,其中,若是等比数列,是等差数列,则一元二次方程( )

A.有两个相等实根 B.无实根

C.有两个同号相异实根 D.有两个异号实根

查看答案和解析>>

科目:高中数学 来源:2015-2016学年四川成都外国语学校高一下期末文数学试卷(解析版) 题型:选择题

是边长为的正三角形,则( )

A. B. C. D.

查看答案和解析>>

科目:高中数学 来源:2015-2016学年山西临汾一中高一下学期期末数学试卷(解析版) 题型:选择题

如果函数对任意满足,且,则( )

A.4032 B.2016 C.1008 D.504

查看答案和解析>>

科目:高中数学 来源:2016届山西晋城市高三下学期三模考试文数学试卷(解析版) 题型:填空题

已知抛物线的焦点为是抛物线上不同的三点(其中轴的下方), 且,则点到直线的距离为

查看答案和解析>>

同步练习册答案