精英家教网 > 高中数学 > 题目详情

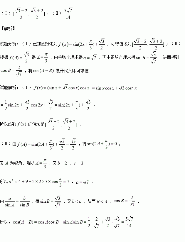
已知函数

(Ⅰ)求的值域;

(Ⅱ)设△的内角A、B、C所对的边分别为a、b、c,已知为锐角,,求的值.

练习册系列答案
相关习题

科目:高中数学 来源:2016届山东省乳山市高三10月月考理科数学试卷(解析版) 题型:解答题

(满分12分)已知,且的必要不充分条件,求实数的取值范围.

查看答案和解析>>

科目:高中数学 来源:2015-2016学年广西钦州港开发区中学高二上第一次月考理科数学试卷(解析版) 题型:选择题

下列函数中,最小值为4的函数是( )

A.

B.

C.

D.

查看答案和解析>>

科目:高中数学 来源:2015-2016学年广东省高一下学期期初考试数学试卷(解析版) 题型:选择题

设集合,集合,则( )

A. B.4

C.5 D.6

查看答案和解析>>

科目:高中数学 来源:2015-2016学年福建省福安市高二上学期第一次月考试数学试卷(解析版) 题型:填空题

已知不等式组的整数解恰好有两个,求的取值范围是________.

查看答案和解析>>

科目:高中数学 来源:2015-2016学年甘肃天水一中高二上学期第一次段中考试理科数学试卷(解析版) 题型:解答题

(满分10分) 在锐角中,分别为内角所对的边,且满足

(Ⅰ)求角的大小;

(Ⅱ)若,且,求的值.

查看答案和解析>>

科目:高中数学 来源:2015-2016学年甘肃天水秦安二中高二上学期第一次月考文科数学试卷(解析版) 题型:选择题

某班级统计一次数学测试后的成绩,并制成了如下的频率分布表,根据该表估计该班级的数学测试平均分为( )

分组

[60,70)

[70,80)

[80,90)

[90,100)

人数

5

15

20

10

频率

0.1

0.3

0.4

0.2

A.80 B.81 C.82 D.83

查看答案和解析>>

科目:高中数学 来源:2015-2016学年广东省高二9月阶段测试文科数学试卷(解析版) 题型:选择题

在△ABC中,,则△ABC一定是( )

A、锐角三角形 B、钝角三角形 C、等腰三角形 D、等边三角形

查看答案和解析>>

科目:高中数学 来源:2015-2016学年吉林省高二上学期第一次月考文科数学试卷(解析版) 题型:填空题

在正方体中,,点的中点,点上,若平面,则________.

查看答案和解析>>

同步练习册答案