精英家教网 > 高中数学 > 题目详情
在如图所示的几何体中,EA⊥平面ABC,DB⊥平面ABC,AC⊥BC,且AC=BC=BD=2AE,M是AB的中点,
(Ⅰ)求证:CM⊥EM;
(Ⅱ)求DE与平面EMC所成角的正切值。
(Ⅰ)证明:因为AC=BC,M是AB的中点,
所以CM⊥AB,
又因为EA⊥平面ABC,
所以CM⊥EM;
(Ⅱ)解:连结MD,设AE=a,
则BD=BC=AC=2a,
在直角梯形ABDE中,
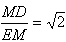
AB=,M是AB的中点,
所以
因此DM⊥EM,
因为CM⊥平面EMD,
所以CM⊥DM,
因此DM⊥平面EMC,
故∠DEM是直线DE和平面EMC所成的角,
在Rt△EMD中,
tan∠DEM=
练习册系列答案
相关习题

科目:高中数学 来源: 题型:

在如图所示的几何体中,四边形ABCD、ADEF、ABGF均为全等的直角梯形,且BC∥AD,AB=AD=2BC.
(Ⅰ)求证:CE∥平面ABGF;
(Ⅱ)求二面角G-CE-D的余弦值.

查看答案和解析>>

科目:高中数学 来源: 题型:

在如图所示的几何体中,平行四边形ABCD的顶点都在以AC为直径的圆O上,AD=CD=DP=a,AP=CP=
2
a,DP∥AM,且AM=
1
2
DP,E,F分别为BP,CP的中点.
(I)证明:EF∥平面ADP;
(II)求三棱锥M-ABP的体积.

查看答案和解析>>

科目:高中数学 来源: 题型:

(2012•朝阳区一模)在如图所示的几何体中,四边形ABCD为平行四边形,∠ABD=90°,EB⊥平面ABCD,EF∥AB,AB=2,EF=1,BC=
13
,且M是BD的中点.
(Ⅰ)求证:EM∥平面ADF;
(Ⅱ)在EB上是否存在一点P,使得∠CPD最大?若存在,请求出∠CPD的正切值;若不存在,请说明理由.

查看答案和解析>>

科目:高中数学 来源: 题型:

在如图所示的几何体中,面CDEF为正方形,面ABCD为等腰梯形,AB∥CD,AB=2BC,∠ABC=60°,AC⊥FB.
(Ⅰ)求证:AC⊥平面FBC;
(Ⅱ)线段ED上是否存在点Q,使平面EAC⊥平面QBC?证明你的结论.

查看答案和解析>>

科目:高中数学 来源: 题型:

精英家教网在如图所示的几何体中,EA⊥平面ABC,DB⊥平面ABC,AC⊥BC,AC=BC=BD=2AE=2,M是AB的中点. 
(1)求证:CM⊥平面ABDE;
(2)求几何体的体积.

查看答案和解析>>

同步练习册答案