精英家教网 > 高中数学 > 题目详情
如图所示,点,点P为抛物线C:y2=2px上的动点,P到y轴的距离PN满足:|PF|=|PN|+,直线l过点F,与抛物线交于A,B两点.
(1)求抛物线C的方程;
(2)设点Q(a,0)(a<0),若直线l垂直于x轴,且向量的夹角为,求a的值;
(3)设M为线段AB的中点,求点M到直线y=x+1距离的最小值.

【答案】分析:(1)根据题意,F是抛物线的焦点,又|PF|等于点P到准线的距离,求出P值,最后写出抛物线的方程即可.
(2)过F的直线l与x轴垂直,不妨设,因为A,B关于x轴对称,结合向量的夹角,得出向量与x轴所成的角为,从而列出关于a的等式,即可求得a.
(3)设直线AB的方程为,将直线的方程代入抛物线的方程,消去y得到关于x的一元二次方程,再结合根系数的关系利用中点公式及点到直线的距离公式即可求得m值,从而解决问题.
解答:解:(1)以题意,F是抛物线的焦点,又|PF|等于点P到准线的距离,
所以,所以抛物线的方程为y2=2x.
(2)过F的直线l与x轴垂直,不妨设
因为A,B关于x轴对称,向量的夹角为,则向量与x轴所成的角为
又知Q(a,0),则,得
(3)设直线AB的方程为,代入y2=2x得y2-2my-1=0.
因为△=4m2+4>0恒成立,所以直线与抛物线恒有两个交点.
设A(x1,y1),B(x2,y2),则AB中点M的坐标为
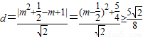
所以点M到直线y=x+1的距离
当且仅当时取等号.
所以点M到直线y=x+1距离的最小值为
点评:本小题主要考查抛物线的标准方程、直线与圆锥曲线的综合问题,考查运算求解能力,考查数形结合思想、化归与转化思想.属于中档题.
练习册系列答案
相关习题

科目:高中数学 来源: 题型:

如图所示,已知点P为菱形ABCD外一点,且PA⊥面ABCD,PA=AD=AC,点F为PC中点,则二面角CBFD的正切值为(  )

查看答案和解析>>

科目:高中数学 来源: 题型:

如图所示,点P在边长为1的正方形的边上运动,设M是CD边的中点,则当点P沿着A—B—C—M运动时,以点P经过的路程x为自变量,△APM的面积为y,则y关于x函数的图像形状大致是(    )

查看答案和解析>>

科目:高中数学 来源:不详 题型:单选题

如图所示,已知点P为菱形ABCD外一点,且PA⊥面ABCD,PA=AD=AC,点F为PC中点,则二面角CBFD的正切值为(  )
A.
3
6
B.
3
4
C.
3
3
D.
2
3
3
精英家教网

查看答案和解析>>

科目:高中数学 来源:《3.2 立体几何中的向量方法》2013年同步练习3(解析版) 题型:选择题

如图所示,已知点P为菱形ABCD外一点,且PA⊥面ABCD,PA=AD=AC,点F为PC中点,则二面角CBFD的正切值为( )

A.
B.
C.
D.

查看答案和解析>>

同步练习册答案