精英家教网 > 高中数学 > 题目详情

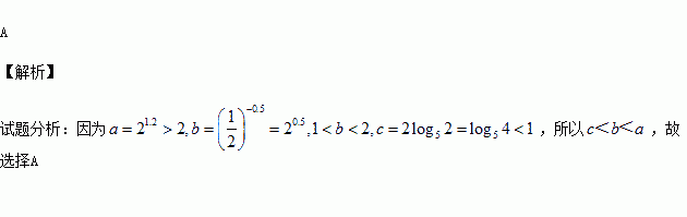
已知a=212,b=,c=2log52,则a,b,c的大小关系为( )

A.c<b<a B.c<a<b

C.b<a<c D.b<c<a

练习册系列答案
相关习题

科目:高中数学 来源:2015-2016学年河南省英文学校高一上学期期中考试数学试卷(解析版) 题型:选择题

设奇函数上为增函数,且,则不等式的解集为( )

A.

B.

C.

D.

查看答案和解析>>

科目:高中数学 来源:2015-2016学年四川省高一上学期第一学月考数学试卷(解析版) 题型:填空题

已知函数f(x)=4x2-4mx+1,在(-∞,-2)上递减,在(-2,+∞)上递增.则f(x)在[1,2]上的值域为_______.

查看答案和解析>>

科目:高中数学 来源:2015-2016学年四川成都市六校高二上学期期中联考理科数学试卷(解析版) 题型:选择题

若直线与曲线有公共点,则b的取值范围是

A. B. C. D.

查看答案和解析>>

科目:高中数学 来源:2015-2016学年江苏省泰州市姜堰区高一上学期期中考试数学试卷(解析版) 题型:填空题

已知集合,,则

查看答案和解析>>

科目:高中数学 来源:2015-2016学年河北省高一上学期第一次月考数学试卷(解析版) 题型:选择题

若函数y=f(x)的定义域为M={x|-2≤x≤2},值域为N={y|0≤y≤2},则函数y=f(x)的图象可能是( )

查看答案和解析>>

科目:高中数学 来源:2015-2016学年广东省普宁市高一上学期期中考试数学试卷(解析版) 题型:选择题

下列四个图形中,不是以x为自变量的函数的图象是( ).

查看答案和解析>>

科目:高中数学 来源:2016届湖南省常德市高三上第五次月考文科数学试卷(解析版) 题型:选择题

已知,若将它的图象向右平移个单位,得到函数的图象,则函数的图象的一条对称轴的方程为( )

A. B. C. D.

查看答案和解析>>

科目:高中数学 来源:2015-2016学年四川省雅安市高二11月月考文科数学试卷(解析版) 题型:选择题

设直线过点,其斜率为1,且与圆相切,则的值为 ( )

A. B. C. D.

查看答案和解析>>

同步练习册答案