精英家教网 > 高中数学 > 题目详情
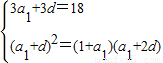
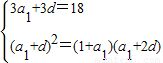
已知各项均为正数的等差数列{an}的前以项和为Sn,若S3=18,且a1+1,a2,a3成等比数列.
(1)求{an}的通项公式;
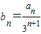
(2)记bn=
【答案】分析:(1)利用等差数列的通项公式、求和公式,结合等比数列的性质可得,解可求d,a1,代入等差数列的通项公式即可
(2)由(1)可得==,利用错位相减法可求
解答:解:(1)∵S3=18,a1+1,a2,a3成等比数列


解可得,d=3或d=-2(舍去),a1=3
∴an=3+3(n-1)=3n
(2)∵==
∴Tn=
=
两式相减可得,

点评:本题主要考查了等差数列的求和公式,通项公式的简单应用,数列求和的错位相减求和方法的应用是求解本题的关键
练习册系列答案
相关习题

科目:高中数学 来源:2011届本溪县高二暑期补课阶段考试数学卷 题型:解答题

(本题满分12分)已知各项均为正数的数列
的等比中项。
(1)求证:数列是等差数列;(2)若的前n项和为Tn,求Tn

查看答案和解析>>

科目:高中数学 来源:2013-2014学年河北省石家庄高三上学期调研考试文科数学试卷(解析版) 题型:选择题

已知各项均为正数的等比数列中,的等比中项为,则的最小值为(    )

A.16    B.8    C.    D.4

 

查看答案和解析>>

科目:高中数学 来源:2013届辽宁朝阳柳城高中高三上第三次月考理科数学试卷(解析版) 题型:解答题

 已知各项均为正数的数列

的等比中项。

(1)求证:数列是等差数列;(2)若的前n项和为Tn,求Tn

 

查看答案和解析>>

科目:高中数学 来源:2013届辽宁朝阳柳城高中高三上第三次月考文科数学试卷(解析版) 题型:解答题

(12分)已知各项均为正数的数列

的等比中项。

(1)求证:数列是等差数列;

(2)若的前n项和为Tn,求Tn

 

查看答案和解析>>

科目:高中数学 来源:2010-2011学年本溪县高二暑期补课阶段考试数学卷 题型:解答题

(本题满分12分)已知各项均为正数的数列

的等比中项。

(1)求证:数列是等差数列;(2)若的前n项和为Tn,求Tn

 

查看答案和解析>>

同步练习册答案