精英家教网 > 高中数学 > 题目详情
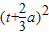
已知函数的定义域为M.
(1)求M;
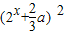
(2)当x∈M时,求f(x)=a•2x+2+3•4x(a>-3)的最小值.
【答案】分析:(1)由题意列出不等式组,求出解集再用区间表示;
(2)用配方法对解析式变形,设t=2x由(1)的结果求出t的范围,则原函数变成关于t的二次函数,再根据对称轴和t的范围进行分类,由二次函数的性质求出对应的最小值.
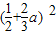
解答:解:(1)由题意得,,解得-1≤x<1
∴函数的定义域M=[-1,1).
(2)f(x)=a•2x+2+3•4x)=4a•2x+3•22x=3-a2
由(1)知,x∈[-1,1),设t=2x,则t∈[,2),
函数变为g(t)=3-a2,又∵a>-3,∴
①若时,即a≥-,函数g(t)在[,2)上时增函数,
∴f(x)的最小值是g()=3-a2=2a+
②若<2时,即-3<a<-,当t=时,f(x)取到最小值是-a2
综上,当a≥-时,f(x)的最小值是2a+;当-3<a<-,f(x)的最小值是-a2
点评:本题是一道综合题,考查了求函数的定义域和最值,用了对数函数、指数函数和二次函数的性质,利用换元法对函数解析式进行转化后再求函数的最值,注意换元后的定义域和对称轴的位置.
练习册系列答案
相关习题

科目:高中数学 来源:2010-2011学年福建省莆田四中高三(上)第二次月考数学试卷(理科)(解析版) 题型:解答题

已知函数的定义域为M.
(1)求M;
(2)当x∈M时,求f(x)=a•2x+2+3•4x(a>-3)的最小值.

查看答案和解析>>

科目:高中数学 来源:2010年重庆市部分重点中学高考数学一模试卷(理科)(解析版) 题型:解答题

已知函数的定义域为M.
(1)求M;
(2)当x∈M时,求f(x)=a•2x+2+3•4x(a>-3)的最小值.

查看答案和解析>>

科目:高中数学 来源:2010-2011学年广东省高考猜押题卷文科数学(三)解析版 题型:选择题

已知函数的定义域为M,函数的定义域为N,则(  )

A. 且    B.  且   C.    D.

 

查看答案和解析>>

科目:高中数学 来源:2010年吉林省高二下学期期末考试理科数学卷 题型:选择题

已知函数的定义域为M,函数的定义域为N,则

M∩N=(  )  A.{x|x>-1}     B.{x|x<1}     C.{x|-1<x<1}        D.φ

 

查看答案和解析>>

科目:高中数学 来源:2007年普通高等学校招生全国统一考试理科数学卷广东 题型:选择题

已知函数的定义域为M,g(x)=的定义域为N,则M∩N=

  (A) (B)  (C)   (D)

 

查看答案和解析>>

同步练习册答案