精英家教网 > 高中数学 > 题目详情

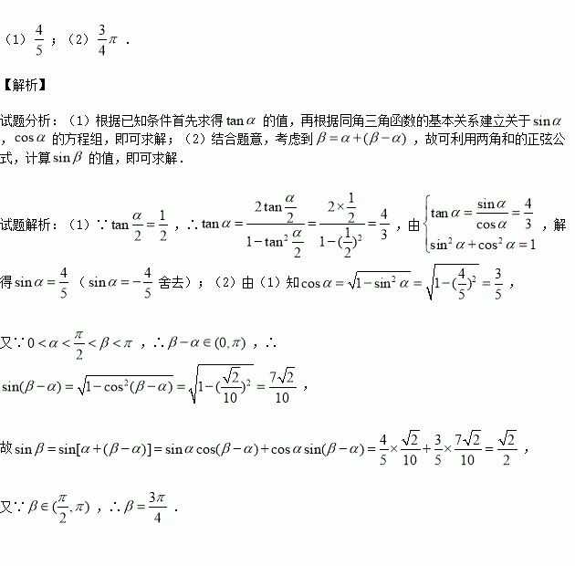
已知

(1)求的值;

(2)求的值.

练习册系列答案
相关习题

科目:高中数学 来源:2015-2016学年吉林省高一上期中文科数学试卷(解析版) 题型:选择题

已知是第三象限角,且,则是( )

A.第一象限角 B.第二象限角

C.第三象限角 D.第四象限角

查看答案和解析>>

科目:高中数学 来源:2016届宁夏吴忠中学高三上第四次月考文科数学试卷(解析版) 题型:选择题

”是“函数在区间上存在零点”的( )

A.充分不必要条件 B.必要不充分条件

C.充分必要条件 D.既不充分也不必要条件

查看答案和解析>>

科目:高中数学 来源:2016届贵州省高三上学期第三次月考理科数学试卷(解析版) 题型:选择题

已知集合,若,则为( )

A. B. C. D.

查看答案和解析>>

科目:高中数学 来源:2015-2016学年重庆市高一上学期期中数学试卷(解析版) 题型:解答题

函数

(1)判断并证明函数的奇偶性;

(2)求不等式的解集.

查看答案和解析>>

科目:高中数学 来源:2015-2016学年山东省高一上学期期中考试数试卷(解析版) 题型:解答题

(1)若,判断并证明函数的奇偶性;

(2)令,当取何值时取得最小值,最小值为多少?

查看答案和解析>>

科目:高中数学 来源:2015-2016学年吉林长春十一中高一上学期期中文科数学卷(解析版) 题型:选择题

函数 的零点个数为( )

A.0 B.1 C.2 D.3

查看答案和解析>>

科目:高中数学 来源:2015-2016学年黑龙江哈尔滨师大附中高二上期中理数学卷(解析版) 题型:选择题

直线与椭圆相切,则的值为( )

A. B. C. D.

查看答案和解析>>

科目:高中数学 来源:2015-2016学年河南省英文学校高二上学期期中考试数学试卷(解析版) 题型:解答题

铁矿石A和B的含铁率a,冶炼每万吨铁矿石的CO2的排放量b及每万吨铁矿石的价格c如下表:

a

b/万吨

c/百万元

A

50%

1

3

B

70%

0.5

6

某冶炼厂至少要生产1.9(万吨)铁,若要求CO2的排放量不超过2(万吨),则购买铁矿石的最少费用为多少?(单位:百万元)

查看答案和解析>>

同步练习册答案